【药物名称】
化学结构式(Chemical Structure):
参考文献No.553519
标题:Benzimidazole-2-carboxylic acid amides and esters: A new structural class of 5-HT3 ligands
作者:Labeaga, L.; Alonso-Cires, L.; Tapia, I.; Mosquera, R.; Orjales, A.; L髉ez-Tudanca, P.
来源:Eur J Med Chem 1999,34(5),415
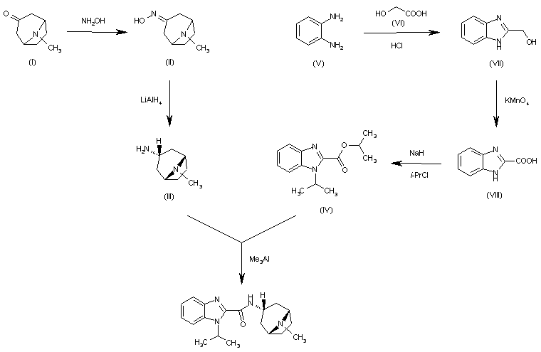
合成路线图解说明:

The reaction of 8-methyl-8-azabicyclo[3.2.1]octan-3-one (I) with hydroxylamine and pyridine in refluxing ethanol gives the oxime (II), which is reduced with LiAlH4 in refluxing 10% H2SO4 yielding endo-methyl-8-azabicyclo[3.2.1]octan-3-amine (III). Finally, this compound is condensed with 1-isopropylbenzimidazole-2-carboxylic acid isopropyl ester (IV) by means of Al(CH3)3 in refluxing toluene. The intermediate 1-isopropylbenzimidazole-2-carboxylic acid isopropyl ester (IV) has been obtained as follows: The cyclization of o-phenylenediamine (V) with 2-hydroxyacetic acid (VI) in refluxing 4N HCl gives 1H-benzyldazole-2-ylmethanol (VII), which is oxidized with KMnO4 to the corresponding carboxylic acid (VIII). Finally, this compound is alkylated and esterified with isopropyl chloride and NaH in DMF.

Drug Information Express,Drug R&D,Chemical Database,Patent Search.
Copyright © 2006-2026 Drug Future. All rights reserved.Contact Us