【药物名称】CT-5219
化学结构式(Chemical Structure):
参考文献No.37921
标题:Anti-inflammatory tyrosine derivs.
作者:Head, J.C.; Warrellow, G.J.; Archibald, S.C. (Celltech Chiroscience plc)
来源:EP 0984981; US 6093696; WO 9854207
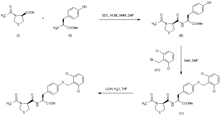
合成路线图解说明:

Coupling of N-acetyl-D-thioproline (I) with tyrosine methyl ester (II) using EDC and HOBt yielded dipeptide (III). Subsequent alkylation of the tyrosine phenolic group of (III) with 2,6-dichlorobenzyl bromide (IV) and NaH produced the dichlorobenzyl ether (V). The methyl ester group of (V) was finally hydrolyzed employing LiOH in aqueous THF.

Drug Information Express,Drug R&D,Chemical Database,Patent Search.
Copyright © 2006-2026 Drug Future. All rights reserved.Contact Us