【药物名称】Methanandamide-(R), (R)-Methanandamide
化学结构式(Chemical Structure):
参考文献No.297079
标题:(R)-Methanandamide: A chiral novel anandamide possessing higher potency and metabolic stability
作者:Abadji, V.; Lin, S.; Taha, G.; Griffin, G.; Stevenson, L.A.; Pertwee, R.G.; Makriyannis, A.
来源:J Med Chem 1994,37(12),1889
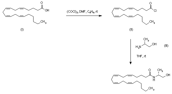
合成路线图解说明:

Treatment of arachidonic acid (I) with oxalyl chloride in benzene containing DMF afforded acid chloride (II), which was then coupled to (R)-2-amino-1-propanol (III) in THF to yield the corresponding arachidonic acid amide.

Drug Information Express,Drug R&D,Chemical Database,Patent Search.
Copyright © 2006-2026 Drug Future. All rights reserved.Contact Us