【药物名称】Fluodipine
化学结构式(Chemical Structure):
参考文献No.530478
标题:Fluorenone and benzophenone 1,4-dihydropyridine derivatives with cardiodepressant activity
作者:Valenti, P.; Brudiesi, R.; Rampa, A.; Chiarini, A.
来源:Arzneim-Forsch Drug Res 1992,42(11),1284
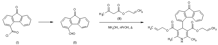
合成路线图解说明:

Fluorenone-4-carboxaldehyde (II) was obtained by reduction of acid chloride (I). Subsequent Hantzsch synthesis using allyl acetoacetate (III) and ammonium hydroxide in boiling isopropyl alcohol provided the title dihydropyridine.

Drug Information Express,Drug R&D,Chemical Database,Patent Search.
Copyright © 2006-2026 Drug Future. All rights reserved.Contact Us