【药物名称】(+)-Resiniferatoxin, Resiniferatoxin, RTX-107, RTX
化学结构式(Chemical Structure):
参考文献No.548257
标题:The first synthesis of a daphnane diterpene: The enantiocontrolled total synthesis of resiniferatoxin
作者:Wender, P.A.; et al.
来源:J Am Chem Soc 1997,119(52),12976
合成路线图解说明:

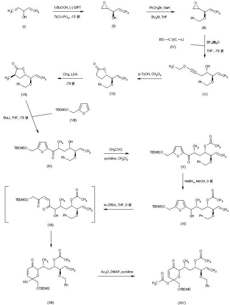
The total synthesis of (+)-resiniferatoxin started with the asymmetric Sharpless epoxidation of 1,4-pentadien-3-ol (I) to afford the epoxy-alcohol (II), which was further protected as the benzyl ether (III). Epoxide ring opening in (III) with the lithium acetylide (IV) in the presence of BF3 at -78 篊 yielded the acetylenic alcohol (V), which was subsequently cyclized to lactone (VI) under acidic conditions. Methylation of the lithium enolate of lactone (VI) gave rise to the trans- lactone (VII) as the major diastereoisomer. Addition of the lithiated derivative of O-(tert-butyldimethylsilyl)furfuryl alcohol (VIII) to the lactone (VII) produced the furyl ketone (IX). After protection of the hydroxyl group of (IX) as the corresponding acetate ester (X), reduction of its ketone function with NaBH4 furnished alcohol (XI). Oxidation of the furan nucleus of (XI) with m-CPBA produced the intermediate diketone (XII) which spontaneously cyclized to the pyranone (XIII). Acetylation of the hydroxyl group of (XIII) gave the (acetyloxy)pyranone (XIV).

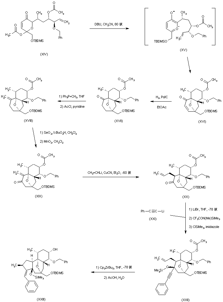
合成路线图解说明:

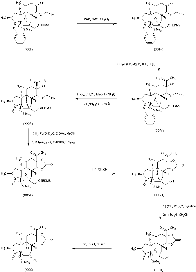
Treatment of pyranone (XIV) with DBU in boiling acetonitrile generated the pyrilium intermediate (XV) which underwent intramolecular cycloaddition to the desired endo cycloadduct (XVI). Catalytic double bond hydrogenation of enone (XVI) provided the saturated ketone (XVII). Wittig reaction of (XVII) with methylene triphenylphosphorane, followed by reacetylation with acetyl chloride furnished the exocyclic methylene derivative (XVIII). Allylic oxidation of (XVIII) by means of SeO2 and t-BuOOH, and further MnO2 oxidation of the resultant alcohol led to the methylene ketone (XIX). This was then subjected to conjugate addition of vinyl cuprate to provide ketone (XX). Diastereoselective addition of the lithium acetylide (XXI) to ketone (XX) followed by quenching with N-methyl-N-(trimethylsilyl)trifluoroacetamide furnished the silyl ether (XXII) along with some unsilylated carbinol, which was converted to (XXII) by independent silylation with chlorotrimethylsilane and imidazole. The tricyclic system (XXIII) was then obtained by zirconocene-mediated cyclization of (XXII), followed by selective acetate hydrolysis with 90 % AcOH.

合成路线图解说明:

Oxidation of alcohol (XXIII) employing tetrapropylammonium perruthenate and N-methylmorpholine-N-oxide provided ketone (XXIV). Addition of isopropenylmagnesium bromide to ketone (XXIV) occurred by the beta-face giving rise to carbinol (XXV). Subsequent ozonolysis of (XXV) produced the oxidative cleavage of both double bonds to yield diketone (XXVI). Hydrogenolysis of the O-benzyl protecting group of (XXVI) followed by reaction of the resultant diol with triphosgene furnished the cyclic carbonate (XXVII). The C20 tert-butyldimethylsilyl group of (XXVII) was selectively removed by treatment with HF to afford alcohol (XXVIII), which was further converted into alkyl iodide (XXIX) via the corresponding triflate, and then displacement with tetrabutylammonium iodide. Reductive elimination of the iodo ether moiety of (XXIX) with activated zinc afforded the exocyclic olefin (XXX).

合成路线图解说明:

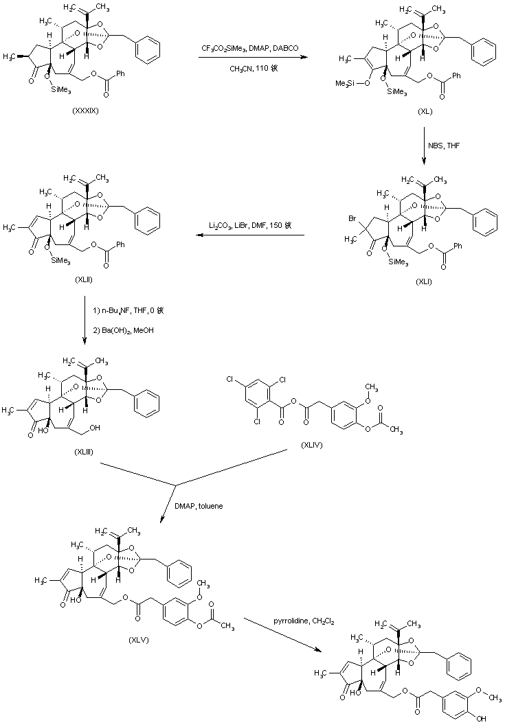
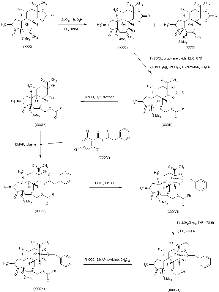
Allylic oxidation of olefin (XXX) with SeO2 and t-BuOOH led to the formation of the desired C7 alcohol (XXXI) along with the C5 regioisomer (XXXII). Chlorination of the allylic alcohol (XXXI) with SOCl2, followed by nucleophilic displacement by benzoate gave the C-20 benzoate (XXXIII). Selective hydrolysis of the cyclic carbonate of (XXXIII) with 0.5 M NaOH furnished the glycol derivative (XXXIV). Coupling of (XXXIV) with the mixed anhydride (XXXV) produced only the C14 phenylacetate ester (XXXVI). This underwent further cyclization with the free hydroxyl groups to the orthoester compound (XXXVII) under mild acidic conditions. The isopropenyl group was regenerated by a Peterson olefination of the C15 ketone of (XXXVII) to provide (XXXVIII). The benzoyl group was then reintroduced in (XXXVIII) at C20 yielding (XXXIX).

合成路线图解说明:

Bromination at the alpha-position of ketone (XXXIX) to (XLI) was effected via formation of the corresponding silyl enol ether (XL), followed by treatment with N-bromosuccinimide. Dehydrohalogenation of the resultant bromo ketone (XLI) by means of lithium carbonate and lithium bromide in hot DMF afforded enone (XLII). Sequential removal of the O-silyl and benzoate protecting groups of (XLII) provided diol (XLIII). The C20 alcohol of (XLIII) was then esterified with the mixed anhydride (XLIV) to furnish the (4-O-acetyl)homovanillic ester (XLV). Finally, a soultion of pyrrolidine in CH2Cl2 was employed for the cleavage of the O-acetyl protecting group of (XLV).

参考文献No.693937
标题:The first synthesis of a daphnane diterpene: The enantiocontrolled total synthesis of (+)-resiniferatoxin
作者:Boger, D.L.; Searcey, M.
来源:Chemtracts - Org Chem 1998,11(9),647
合成路线图解说明:

The total synthesis of (+)-resiniferatoxin started with the asymmetric Sharpless epoxidation of 1,4-pentadien-3-ol (I) to afford the epoxy-alcohol (II), which was further protected as the benzyl ether (III). Epoxide ring opening in (III) with the lithium acetylide (IV) in the presence of BF3 at -78 篊 yielded the acetylenic alcohol (V), which was subsequently cyclized to lactone (VI) under acidic conditions. Methylation of the lithium enolate of lactone (VI) gave rise to the trans- lactone (VII) as the major diastereoisomer. Addition of the lithiated derivative of O-(tert-butyldimethylsilyl)furfuryl alcohol (VIII) to the lactone (VII) produced the furyl ketone (IX). After protection of the hydroxyl group of (IX) as the corresponding acetate ester (X), reduction of its ketone function with NaBH4 furnished alcohol (XI). Oxidation of the furan nucleus of (XI) with m-CPBA produced the intermediate diketone (XII) which spontaneously cyclized to the pyranone (XIII). Acetylation of the hydroxyl group of (XIII) gave the (acetyloxy)pyranone (XIV).

合成路线图解说明:

Treatment of pyranone (XIV) with DBU in boiling acetonitrile generated the pyrilium intermediate (XV) which underwent intramolecular cycloaddition to the desired endo cycloadduct (XVI). Catalytic double bond hydrogenation of enone (XVI) provided the saturated ketone (XVII). Wittig reaction of (XVII) with methylene triphenylphosphorane, followed by reacetylation with acetyl chloride furnished the exocyclic methylene derivative (XVIII). Allylic oxidation of (XVIII) by means of SeO2 and t-BuOOH, and further MnO2 oxidation of the resultant alcohol led to the methylene ketone (XIX). This was then subjected to conjugate addition of vinyl cuprate to provide ketone (XX). Diastereoselective addition of the lithium acetylide (XXI) to ketone (XX) followed by quenching with N-methyl-N-(trimethylsilyl)trifluoroacetamide furnished the silyl ether (XXII) along with some unsilylated carbinol, which was converted to (XXII) by independent silylation with chlorotrimethylsilane and imidazole. The tricyclic system (XXIII) was then obtained by zirconocene-mediated cyclization of (XXII), followed by selective acetate hydrolysis with 90 % AcOH.

合成路线图解说明:

Oxidation of alcohol (XXIII) employing tetrapropylammonium perruthenate and N-methylmorpholine-N-oxide provided ketone (XXIV). Addition of isopropenylmagnesium bromide to ketone (XXIV) occurred by the beta-face giving rise to carbinol (XXV). Subsequent ozonolysis of (XXV) produced the oxidative cleavage of both double bonds to yield diketone (XXVI). Hydrogenolysis of the O-benzyl protecting group of (XXVI) followed by reaction of the resultant diol with triphosgene furnished the cyclic carbonate (XXVII). The C20 tert-butyldimethylsilyl group of (XXVII) was selectively removed by treatment with HF to afford alcohol (XXVIII), which was further converted into alkyl iodide (XXIX) via the corresponding triflate, and then displacement with tetrabutylammonium iodide. Reductive elimination of the iodo ether moiety of (XXIX) with activated zinc afforded the exocyclic olefin (XXX).

合成路线图解说明:

Allylic oxidation of olefin (XXX) with SeO2 and t-BuOOH led to the formation of the desired C7 alcohol (XXXI) along with the C5 regioisomer (XXXII). Chlorination of the allylic alcohol (XXXI) with SOCl2, followed by nucleophilic displacement by benzoate gave the C-20 benzoate (XXXIII). Selective hydrolysis of the cyclic carbonate of (XXXIII) with 0.5 M NaOH furnished the glycol derivative (XXXIV). Coupling of (XXXIV) with the mixed anhydride (XXXV) produced only the C14 phenylacetate ester (XXXVI). This underwent further cyclization with the free hydroxyl groups to the orthoester compound (XXXVII) under mild acidic conditions. The isopropenyl group was regenerated by a Peterson olefination of the C15 ketone of (XXXVII) to provide (XXXVIII). The benzoyl group was then reintroduced in (XXXVIII) at C20 yielding (XXXIX).

合成路线图解说明:

Bromination at the alpha-position of ketone (XXXIX) to (XLI) was effected via formation of the corresponding silyl enol ether (XL), followed by treatment with N-bromosuccinimide. Dehydrohalogenation of the resultant bromo ketone (XLI) by means of lithium carbonate and lithium bromide in hot DMF afforded enone (XLII). Sequential removal of the O-silyl and benzoate protecting groups of (XLII) provided diol (XLIII). The C20 alcohol of (XLIII) was then esterified with the mixed anhydride (XLIV) to furnish the (4-O-acetyl)homovanillic ester (XLV). Finally, a soultion of pyrrolidine in CH2Cl2 was employed for the cleavage of the O-acetyl protecting group of (XLV).

Drug Information Express,Drug R&D,Chemical Database,Patent Search.
Copyright © 2006-2026 Drug Future. All rights reserved.Contact Us