【药物名称】SB-T-101187
化学结构式(Chemical Structure):
参考文献No.271750
标题:A four-week intravenous toxicity study of flecainide acetate in rats with a two-week recovery phase
作者:Toyoshi, T.; Nomura, T.; Ogawa, A.; et al.
来源:Clin Rep 1994,28(6),13
合成路线图解说明:

Protection of the C-7 hydroxyl group of 14-b-hydroxy-10-deacetyl baccatin III (VIII) with triethylsilyl chloride and imidazole yielded silyl ether (IX). Then, the 1,14-diol of (IX) was converted to cyclic carbonate (X) by treatment with diphosgene in the presence of pyridine. Subsequent selective acetylation of (X) at C-10 hydroxyl group with acetyl chloride in the presence of LiN(SiMe3)2 afforded ester (XI). The title taxoid was then obtained by further coupling of (XI) with b-lactam (VII) using LiN(SiMe3)2 in THF at low temperature, followed by desilylation with HF in pyridine.

参考文献No.487098
标题:Syntheses and biological activity of advanced second-generation taxoids
作者:Lin, S.; et al.
来源:216th ACS Natl Meet (Aug. 23-27, Boston) 1998,Abst MEDI 315
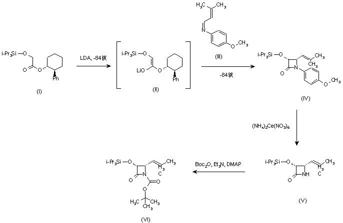
合成路线图解说明:

Lithium enolate (II), generated from chiral ester (I) and LDA at -84 C, was cyclocondensed with imine (III) to furnish azetidinone (IV). The N-p-methoxyphenyl group of (IV) was then removed by oxidative treatment with ceric ammonium nitrate at -10 C, and the resulting azetidinone (V) was protected with Boc2O to afford tert-butyl carbamate (VI).

合成路线图解说明:

The C-7 hydroxyl group of 10-deacetyl baccatin III (VII) was selectively protected with triethylsilyl chloride and imidazole to yield silyl ether (VIII). Subsequent selective acylation of (VIII) at C-10 hydroxyl group with propionyl chloride in the presence of LiN(SiMe3)2 afforded ester (IX). The title taxoid was then obtained by further coupling with b-lactam (VI) using LiN(SiMe3)2 in THF at low temperature, followed by desilylation with HF in pyridine.

合成路线图解说明:

Lithium enolate (II), generated from chiral ester (I) and LDA at -84 C, was cyclocondensed with imine (III) to furnish azetidinone (IV). After removal of the triisopropylsilyl group of (IV) using HF in pyridine, the resulting lactam was treated with CH2I2 and Et2Zn in 1,2-dichloroethane to give the dimethylcyclopropyl azetidinone (V). The C-3 hydroxyl group was reprotected as the triisopropylsilyl ether (VI). Then, the N-p-methoxyphenyl group of (VI) was removed by oxidative treatment with ceric ammonium nitrate at -10 C, and the resulting azetidinone was N-protected with Boc2O to afford tert-butyl carbamate (VII).

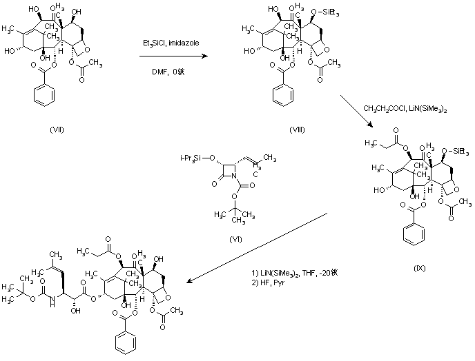
合成路线图解说明:

The C-7 hydroxyl group of 10-deacetyl baccatin III (VIII) was selectively protected with triethylsilyl chloride and imidazole to yield silyl ether (IX). Subsequent selective acetylation of (IX) at C-10 hydroxyl group with acetyl chloride in the presence of LiN(SiMe3)2 afforded ester (X). The title taxoid was then obtained by further coupling of (X) with b-lactam (VII) using LiN(SiMe3)2 in THF at low temperature, followed by desilylation with HF in pyridine.

合成路线图解说明:

Lithium enolate (II), generated from chiral ester (I) and LDA at -84 C, was cyclocondensed with imine (III) to furnish azetidinone (IV). After removal of the triisopropylsilyl group of (IV) using HF in pyridine, the resulting lactam was treated with CH2I2 and Et2Zn in 1,2-dichloroethane to give the dimethylcyclopropyl azetidinone (V). The C-3 hydroxyl group was reprotected as the triisopropylsilyl ether (VI). Then, the N-p-methoxyphenyl group of (VI) was removed by oxidative treatment with ceric ammonium nitrate at -10 C, and the resulting azetidinone was N-protected with Boc2O to afford tert-butyl carbamate (VII).

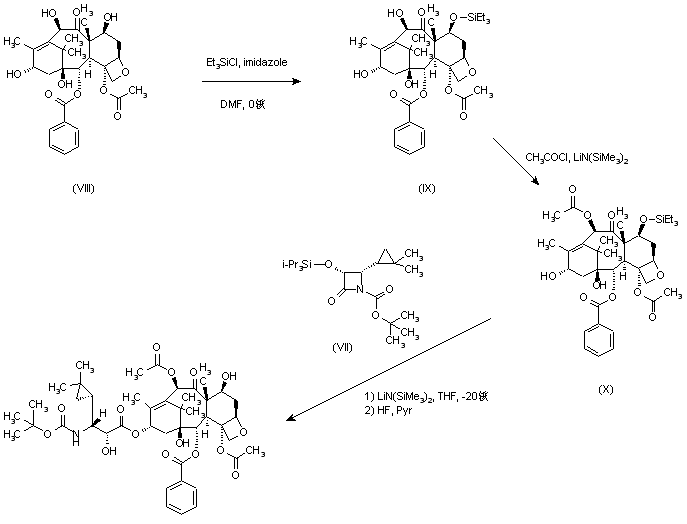
合成路线图解说明:

The C-7 hydroxyl group of 10-deacetyl baccatin III (VIII) was selectively protected with triethylsilyl chloride and imidazole to yield silyl ether (IX). Subsequent selective acylation of (IX) at C-10 hydroxyl group with cyclopropanecarbonyl chloride (X) in the presence of LiN(SiMe3)2 afforded ester (XI). The title taxoid was then obtained by further coupling of (XI) with b-lactam (VII) using LiN(SiMe3)2 in THF at low temperature, followed by desilylation with HF in pyridine.

合成路线图解说明:

Lithium enolate (II), generated from chiral ester (I) and LDA at -84 C, was cyclocondensed with imine (III) to furnish azetidinone (IV). After removal of the triisopropylsilyl group of (IV) using HF in pyridine, the resulting lactam was treated with CH2I2 and Et2Zn in 1,2-dichloroethane to give the dimethylcyclopropyl azetidinone (V). The C-3 hydroxyl group was reprotected as the triisopropylsilyl ether (VI). Then, the N-p-methoxyphenyl group of (VI) was removed by oxidative treatment with ceric ammonium nitrate at -10 C, and the resulting azetidinone was N-protected with Boc2O to afford tert-butyl carbamate (VII).

合成路线图解说明:

Lithium enolate (II), generated from chiral ester (I) and LDA at -84 C, was cyclocondensed with imine (III) to furnish azetidinone (IV). Ozonolysis of the olefinic bond of (IV) at -78 C in CH2Cl2-MeOH, followed by reductive workup using Me2S afforded aldehyde (V). Subsequent treatment of (V) with diethylaminosulfur trifluoride in CH2Cl2 at r.t. yielded the difluoromethyl lactam (VI). Then, the N-p-methoxyphenyl group of (VI) was removed by oxidative treatment with ceric ammonium nitrate at -5 C, and the resulting azetidinone was N-protected with Boc2O to afford tert-butyl carbamate (VII)

合成路线图解说明:

The C-7 hydroxyl group of 10-deacetyl baccatin III (VIII) was selectively protected with triethylsilyl chloride and imidazole to yield silyl ether (IX). Subsequent selective acylation of (IX) at C-10 hydroxyl group with acid chloride (X) in the presence of LiN(SiMe3)2 afforded ester (XI). The title taxoid was then obtained by further coupling of (XI) with b-lactam (VII) using LiN(SiMe3)2 in THF at low temperature, followed by desilylation with HF in pyridine

Drug Information Express,Drug R&D,Chemical Database,Patent Search.
Copyright © 2006-2026 Drug Future. All rights reserved.Contact Us