【药物名称】DQ-113, D61-1113
化学结构式(Chemical Structure):
参考文献No.33463
标题:Substd. aminocycloalkylpyrrolidine derivs.
作者:Takemura, M.; Kimura, Y.; Takahashi, H.; Kimura, K.; Miyauchi, S.; Ohki, H. (Daiichi Pharmaceutical Co., Ltd.)
来源:EP 0911328; WO 9719072
合成路线图解说明:

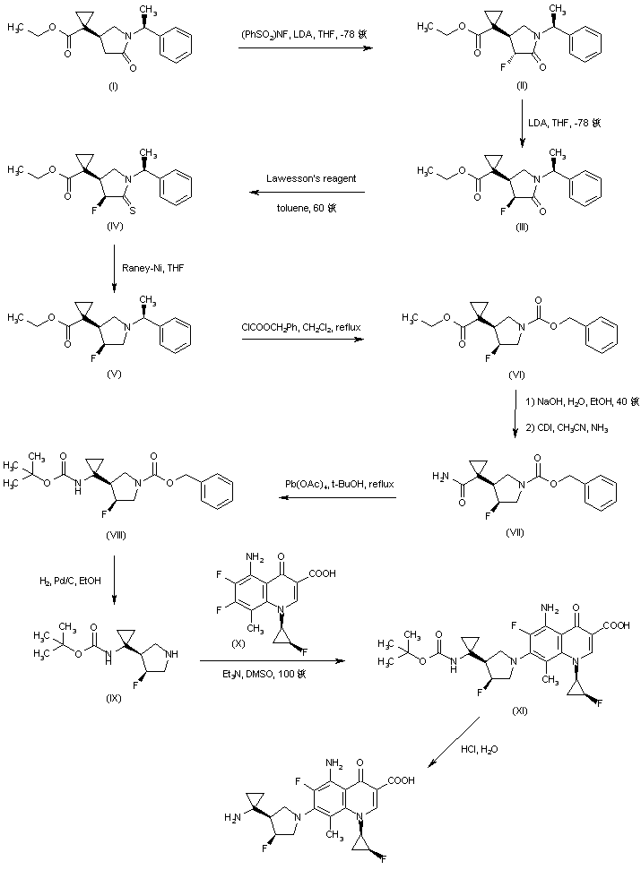
The chiral pyrrolidinone derivative (I) was fluorinated to (II) by means of N-fluoro benzenesulfonimide in the presence of LDA at -78 C. The trans-fluoroderivative (II) was then epimerized to the cis-isomer (III) upon enolization with LDA in cold THF, followed by reprotonation with 2,6-di-tert-butylphenol. After conversion of (III) to the corresponding thiolactam (IV) using Lawesson抯 reagent, desulfurization of (IV) in the presence of Raney-Ni yielded pyrrolidine (V). The 1-phenylethyl group of (V) was then removed by dealkylation with benzyl chloroformate, yielding carbamate (VI). Ester hydrolysis of (VI) and subsequent carbonyldiimidazole-mediated condensation with ammonia gave rise to amide (VII). Hofmann rearrangement of amide (VII) in the presence of lead tetraacetate and tert-butanol generated the tert-butyl carbamate (VIII). The N-benzyloxycarbonyl protecting group of (VIII) was then removed by hydrogenolysis over Pd/C to give amine (IX), which was condensed with the difluoroquinolone (X) to provide adduct (XI). The N-Boc group of (XI) was finally cleaved by treatment with aqueous HCl.

参考文献No.37814
标题:cis-Disubstd. aminocycloalkyl-pyrrolidine derivs.
作者:Takahashi, H.; Sugita, K.; Miyauchi, R.; Miyauchi, S.; Ohki, H.; Takemura, M. (Daiichi Pharmaceutical Co., Ltd.)
来源:EP 1020459; WO 9852939
合成路线图解说明:

The chiral pyrrolidinone derivative (I) was fluorinated to (II) by means of N-fluoro benzenesulfonimide in the presence of LDA at -78 C. The trans-fluoroderivative (II) was then epimerized to the cis-isomer (III) upon enolization with LDA in cold THF, followed by reprotonation with 2,6-di-tert-butylphenol. After conversion of (III) to the corresponding thiolactam (IV) using Lawesson抯 reagent, desulfurization of (IV) in the presence of Raney-Ni yielded pyrrolidine (V). The 1-phenylethyl group of (V) was then removed by dealkylation with benzyl chloroformate, yielding carbamate (VI). Ester hydrolysis of (VI) and subsequent carbonyldiimidazole-mediated condensation with ammonia gave rise to amide (VII). Hofmann rearrangement of amide (VII) in the presence of lead tetraacetate and tert-butanol generated the tert-butyl carbamate (VIII). The N-benzyloxycarbonyl protecting group of (VIII) was then removed by hydrogenolysis over Pd/C to give amine (IX), which was condensed with the difluoroquinolone (X) to provide adduct (XI). The N-Boc group of (XI) was finally cleaved by treatment with aqueous HCl.

参考文献No.645176
标题:DQ-113 (D61-1113), a potent fluoroquinolone against multi-drug resistance Gram-positive bacteria: Practical synthesis, and in vitro and in vivo activities
作者:Takahashi, H.; et al.
来源:41st Intersci Conf Antimicrob Agents Chemother (Dec 16 2001, Chicago) 2001,Abst F-550
合成路线图解说明:

The intermediate fluoropyrrolidine (XIV) was obtained as follows: Alkylation of ethyl acetoacetate (I) with 1,2-dibromoethane (II) led to the cyclopropane derivative (III). Bromination of (III) provided bromo ketone (IV), which was condensed with (S)-1-phenylethylamine (V), yielding amino ketone (VI). Acylation of amine (VI) with (diethylfosfonyl)fluoroacetyl chloride (VII) gave amide (VIII). Intramolecular Wadsworth-Emmons condensation of keto phosphonate (VIII) in the presence of potassium tert-butoxide produced the pyrrolinone (IX). Catalytic hydrogenation of the pyrroline double bond of (IX), followed by separation of the resultant diastereomeric mixture, furnished pyrrolidinone (X). After saponification of the ethyl ester group of (X), the resulting acid (XI) was subjected to Curtius rearrangement in the presence of DPPA and t-BuOH, giving rise to carbamate (XII). Lactam (XII) reduction by means of borane in THF afforded pyrrolidine (XIII). The N-phenylethyl group of (XIII) was then removed by hydrogenation over Pd/C to furnish the required intermediate pyrrolidine (XIV) (See scheme no. 27170201a, intermediate (IX)).

合成路线图解说明:

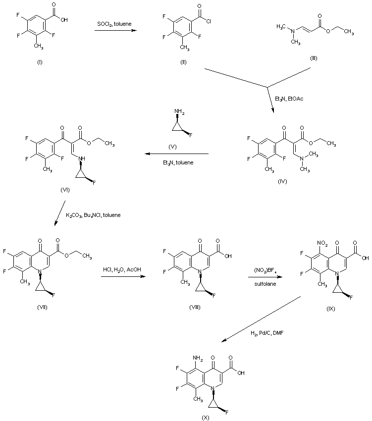
The quinolone intermediate (X) has been obtained as follows: Acid chloride (I), prepared from 3-methyl-2,4,5-trifluorobenzoic acid (II) and SOCl2, was condensed with ethyl 3-(dimethylamino)acrylate (III) to produce the enamino keto ester (IV). Displacement of the dimethylamino group of (IV) with the cyclopropylamine (V) gave rise to (VI), which was further cyclized to the quinolone (VII) under basic conditions. Acid hydrolysis of ethyl ester (VII) provided carboxylic acid (VIII). Electrophilic nitration of the quinoline ring of (VIII) by means of nitronium fluoroborate yielded the nitro derivative (IX), which was finally reduced to the target aminoquinolone (X) by catalytic hydrogenation (See scheme no. 27170201a, intermediate (X)).

Drug Information Express,Drug R&D,Chemical Database,Patent Search.
Copyright © 2006-2026 Drug Future. All rights reserved.Contact Us