【药物名称】(-)-Tubifolidine
化学结构式(Chemical Structure):
参考文献No.481596
标题:Catalytic asymmetric synthesis of tubifolidine
作者:Shimizu, S.; Ohori, K.; Arai, T.; Sasai, H.; Shibasaki, M.
来源:J Org Chem 1998,63(21),7547
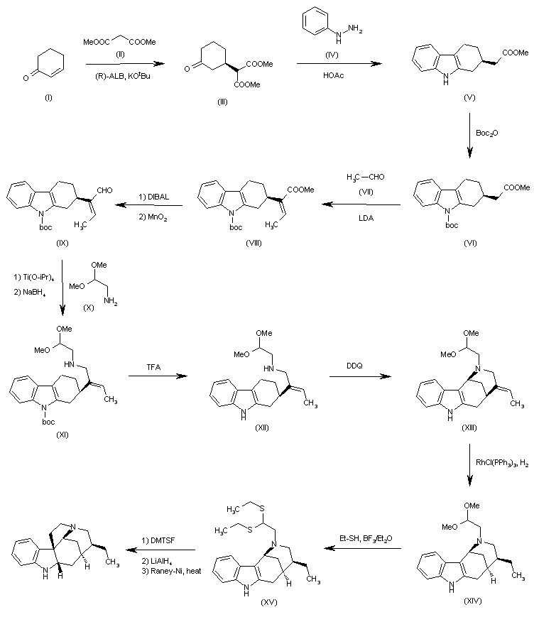
合成路线图解说明:

The asymetric Michael addition of malonic ester (II) to 2-cyclohexenone (I) catalyzed by (R)-ALB and t-BuOK in THF gives the (R)-enantiomer (III), which is cyclized with phenylhydrazine (IV) in hot acetic acid yielding the tetrahydrocarbazole (V). The protection of (V) with Boc2O, TEA and DMAP in dichloromethane gives protected (VI), which is condensed with acetaldehyde (VII) by means of LDA in THF affording crotonate (VIII). The reduction of the ester group of (VIII) with DIBAL, followed by oxidation with MnO2 gives the corresponding aldehyde (IX), which is reductocondensed with 2-aminoacetaldehyde dimethylacetal (XI) by means of titanium tetraisopropoxide and NaBH4 in toluene/methanol providing adduct (XI). The deprotection of (XI) with TFA and anisole gives the free tetrahydrocarbazole (XII), which is cyclized by means of DDQ in THF yielding the tetracyclic compound (XIII). The reduction of the exocyclic double bond of (XIII) with RhCl(PPh3)3 in benzene/isopropanol affords the (S)-ethyl derivative (XIV), which is treated with Et-SH and BF3/Et2O in dichloromethane to give the thioacetal (XV). Finally, this compound is cyclized with DMTSF, LiAlH4 and Raney-Ni in refluxing ethanol.

Drug Information Express,Drug R&D,Chemical Database,Patent Search.
Copyright © 2006-2026 Drug Future. All rights reserved.Contact Us