【药物名称】Linsidomine, SIN-1, Corvasal(hydrochloride)
化学结构式(Chemical Structure):
参考文献No.701215
标题:Sydnonimine derivatives
作者:Masuda, K.; Imashiro, Y.
来源:DE 1620501; FR 1496056; GB 1116692; US 3312690
合成路线图解说明:

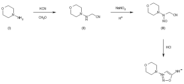
The reaction of N-aminomorpholine (I) with potassium cyanide and formaldehyde in water gives N-morpholino-2-aminoacetonitrile (II), which is nitrosated by reaction with NaNO2 - HCl in water yielding N-nitroso-N-morpholino-2-aminoacetonitrile (III). Finally, this compound is cyclized by treatment with HCl in methanol.

参考文献No.701216
标题:
作者:Bossuyt, L.; Czernielewski, J.; Bewley, A.P.; Henry, I.; Richert, B.; Al Abadie, M.
来源:Drugs Today 1972,8(1),15-18
合成路线图解说明:

The reaction of N-aminomorpholine (I) with potassium cyanide and formaldehyde in water gives N-morpholino-2-aminoacetonitrile (II), which is nitrosated by reaction with NaNO2 - HCl in water yielding N-nitroso-N-morpholino-2-aminoacetonitrile (III). Finally, this compound is cyclized by treatment with HCl in methanol.

参考文献No.800329
标题:Mesionic compounds. I. Synthesis of 3-dialkylaminosydnonimines
作者:Imashiro, Y.; Kanebo, T.; Masuda, K.
来源:Chem Pharm Bull 1970,18(1),128-132
合成路线图解说明:

The reaction of N-aminomorpholine (I) with potassium cyanide and formaldehyde in water gives N-morpholino-2-aminoacetonitrile (II), which is nitrosated by reaction with NaNO2 - HCl in water yielding N-nitroso-N-morpholino-2-aminoacetonitrile (III). Finally, this compound is cyclized by treatment with HCl in methanol.

参考文献No.800330
标题:Biotransformation of molsidomine, a new antianginal agent, in rats
作者:Nakai, Y. Fujita, T.; Tanayama, S.; Suzuki, Z.
来源:Xenobiotica 1974,4175-191
合成路线图解说明:

The reaction of N-aminomorpholine (I) with potassium cyanide and formaldehyde in water gives N-morpholino-2-aminoacetonitrile (II), which is nitrosated by reaction with NaNO2 - HCl in water yielding N-nitroso-N-morpholino-2-aminoacetonitrile (III). Finally, this compound is cyclized by treatment with HCl in methanol.

参考文献No.800331
标题:SIN-1
作者:Blancafort, P.; Serradell, M.N.; Casta馿r, J.; Grau, M.
来源:Drugs Fut 1983,8(1),43-44
合成路线图解说明:

The reaction of N-aminomorpholine (I) with potassium cyanide and formaldehyde in water gives N-morpholino-2-aminoacetonitrile (II), which is nitrosated by reaction with NaNO2 - HCl in water yielding N-nitroso-N-morpholino-2-aminoacetonitrile (III). Finally, this compound is cyclized by treatment with HCl in methanol.

Drug Information Express,Drug R&D,Chemical Database,Patent Search.
Copyright © 2006-2026 Drug Future. All rights reserved.Contact Us