【药物名称】Ketotifen, Zaditor(fumarate), Zaditen(fumarate)
化学结构式(Chemical Structure):
参考文献No.47602
标题:Process for the production of benzocycloheptathiophenone derivative
作者:Bourquin, J.P.; et al. (Novartis AG)
来源:DE 2302970; FR 2169091; FR 2401153; GB 1422443; GB 1422444; JP 48081869; JP 55129282
合成路线图解说明:

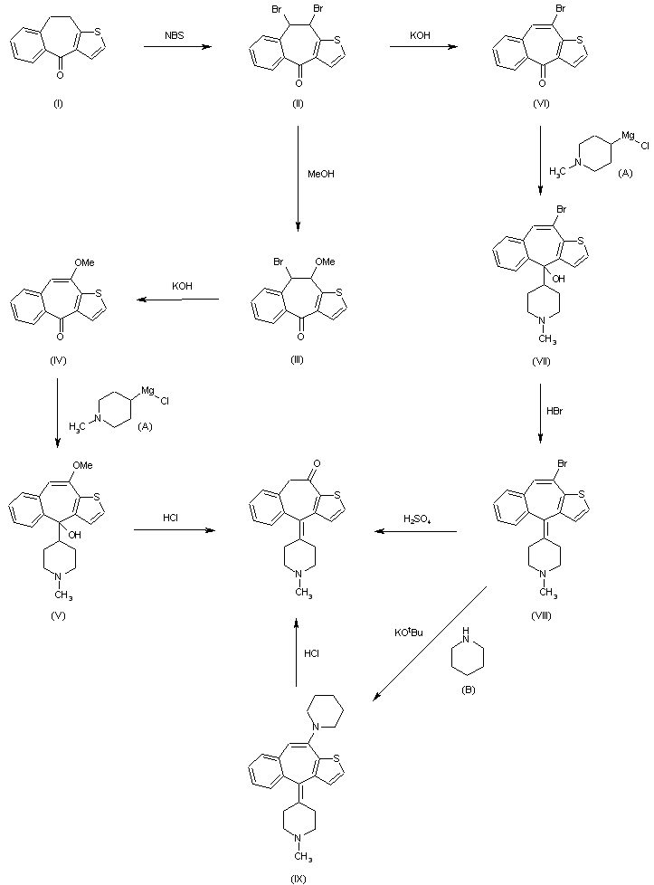
Compound can be prepared in two ditferent ways both starting from 9,10-dibromo-9,10-dihydro-4H-benzo[4,5]cyclohepta[1,2-b]thiophene-4-one (II): 1) The reaction of compound (II) with refluxing methanol affords 9-bromo-10-methoxy-9,10-dihydro-4H-benzo[4,5]cyclohepta[1,2-b]thiophene-4-one (III), which is dehydrobrominated with KOH in refluxing methanol giving 10-methoxy-4H-benzo[4,5]cyclohepta[1,2-b]thiophene-4-one (IV). The condensation of compound (IV) with the magnesium derivative of 4-chloro-1-methylpiperidine (A) in THF yields 10-methoxy-4-(1-methyl-4-piperidyl)-4H-benzo[4,5]cyclohepta[1,2-b]thiophene-4-ol (V), which is finally dehydrated and demethylated with 3N HCl at 95-100 C. 2) The dehydrobromination of compound (II) with KOH in refluxing methanol affords 10-bromo-4H-benzo[4,5]cyclohepta[1,2-b]thiophene-4-one (VI), which is then condensed with the magnesium derivative of 4-chloro-1-methylpiperidine in THF giving 10-bromo-4-(1-methyl-4-piperidyl)-4H-benzo[4,5]cyclohepta[1,2-b]thiophene-4-ol (VII). This compound is dehydrated with 14% ethanolic HBr at 100 C giving 10-bromo-4-(1-methyl-4-piperidylidene)-4H-benzo[4,5]cyclohepta[1,2-b]thiophene (VIII) (2,3), which is finally hydrolyzed with 50% H2SO4 at 100 C. Compound (VIII) can be also be treated with piperidine and potassium terbutylate in dioxane at 130 C to give 10-piperidino-4-(1-methyl-4-piperidylidene)-4H-benzo[4,5]cyclohepta[1,2-b]thiophene (IX), which is finally hydrolyzed with refluxing 2N HCl. The starting material (II) is prepared by bromination of 9,10-dihydro-4H-benzo[4,5]cyclohepta[1,2-b]thiophene-4-one (I) with N-bromosuccinimide (B) and benzoyl peroxide in carbon tetrachloride.

参考文献No.800632
标题:Ketotifen
作者:Casta馿r, J.; Hillier, K.
来源:Drugs Fut 1977,2(2),108
合成路线图解说明:

Compound can be prepared in two ditferent ways both starting from 9,10-dibromo-9,10-dihydro-4H-benzo[4,5]cyclohepta[1,2-b]thiophene-4-one (II): 1) The reaction of compound (II) with refluxing methanol affords 9-bromo-10-methoxy-9,10-dihydro-4H-benzo[4,5]cyclohepta[1,2-b]thiophene-4-one (III), which is dehydrobrominated with KOH in refluxing methanol giving 10-methoxy-4H-benzo[4,5]cyclohepta[1,2-b]thiophene-4-one (IV). The condensation of compound (IV) with the magnesium derivative of 4-chloro-1-methylpiperidine (A) in THF yields 10-methoxy-4-(1-methyl-4-piperidyl)-4H-benzo[4,5]cyclohepta[1,2-b]thiophene-4-ol (V), which is finally dehydrated and demethylated with 3N HCl at 95-100 C. 2) The dehydrobromination of compound (II) with KOH in refluxing methanol affords 10-bromo-4H-benzo[4,5]cyclohepta[1,2-b]thiophene-4-one (VI), which is then condensed with the magnesium derivative of 4-chloro-1-methylpiperidine in THF giving 10-bromo-4-(1-methyl-4-piperidyl)-4H-benzo[4,5]cyclohepta[1,2-b]thiophene-4-ol (VII). This compound is dehydrated with 14% ethanolic HBr at 100 C giving 10-bromo-4-(1-methyl-4-piperidylidene)-4H-benzo[4,5]cyclohepta[1,2-b]thiophene (VIII) (2,3), which is finally hydrolyzed with 50% H2SO4 at 100 C. Compound (VIII) can be also be treated with piperidine and potassium terbutylate in dioxane at 130 C to give 10-piperidino-4-(1-methyl-4-piperidylidene)-4H-benzo[4,5]cyclohepta[1,2-b]thiophene (IX), which is finally hydrolyzed with refluxing 2N HCl. The starting material (II) is prepared by bromination of 9,10-dihydro-4H-benzo[4,5]cyclohepta[1,2-b]thiophene-4-one (I) with N-bromosuccinimide (B) and benzoyl peroxide in carbon tetrachloride.

参考文献No.800634
标题:Substittued 4H-benzo[4,5]cyclohepta[1,2-b]thiophen-10(9H)-ones
作者:Bourquin, J.P.; et al.
来源:CA 947767; DE 2144490; FR 2107917; GB 1355537; US 3682930
合成路线图解说明:

Compound can be prepared in two ditferent ways both starting from 9,10-dibromo-9,10-dihydro-4H-benzo[4,5]cyclohepta[1,2-b]thiophene-4-one (II): 1) The reaction of compound (II) with refluxing methanol affords 9-bromo-10-methoxy-9,10-dihydro-4H-benzo[4,5]cyclohepta[1,2-b]thiophene-4-one (III), which is dehydrobrominated with KOH in refluxing methanol giving 10-methoxy-4H-benzo[4,5]cyclohepta[1,2-b]thiophene-4-one (IV). The condensation of compound (IV) with the magnesium derivative of 4-chloro-1-methylpiperidine (A) in THF yields 10-methoxy-4-(1-methyl-4-piperidyl)-4H-benzo[4,5]cyclohepta[1,2-b]thiophene-4-ol (V), which is finally dehydrated and demethylated with 3N HCl at 95-100 C. 2) The dehydrobromination of compound (II) with KOH in refluxing methanol affords 10-bromo-4H-benzo[4,5]cyclohepta[1,2-b]thiophene-4-one (VI), which is then condensed with the magnesium derivative of 4-chloro-1-methylpiperidine in THF giving 10-bromo-4-(1-methyl-4-piperidyl)-4H-benzo[4,5]cyclohepta[1,2-b]thiophene-4-ol (VII). This compound is dehydrated with 14% ethanolic HBr at 100 C giving 10-bromo-4-(1-methyl-4-piperidylidene)-4H-benzo[4,5]cyclohepta[1,2-b]thiophene (VIII) (2,3), which is finally hydrolyzed with 50% H2SO4 at 100 C. Compound (VIII) can be also be treated with piperidine and potassium terbutylate in dioxane at 130 C to give 10-piperidino-4-(1-methyl-4-piperidylidene)-4H-benzo[4,5]cyclohepta[1,2-b]thiophene (IX), which is finally hydrolyzed with refluxing 2N HCl. The starting material (II) is prepared by bromination of 9,10-dihydro-4H-benzo[4,5]cyclohepta[1,2-b]thiophene-4-one (I) with N-bromosuccinimide (B) and benzoyl peroxide in carbon tetrachloride.

参考文献No.800635
标题:Substittued 4H-benzo[4,5]cyclohepta[1,2-b]thiophen-10(9H)-ones
作者:Bourquin, J.P.; et al.
来源:DE 2111071; FR 2107917; GB 1355537; US 3682930
合成路线图解说明:

Compound can be prepared in two ditferent ways both starting from 9,10-dibromo-9,10-dihydro-4H-benzo[4,5]cyclohepta[1,2-b]thiophene-4-one (II): 1) The reaction of compound (II) with refluxing methanol affords 9-bromo-10-methoxy-9,10-dihydro-4H-benzo[4,5]cyclohepta[1,2-b]thiophene-4-one (III), which is dehydrobrominated with KOH in refluxing methanol giving 10-methoxy-4H-benzo[4,5]cyclohepta[1,2-b]thiophene-4-one (IV). The condensation of compound (IV) with the magnesium derivative of 4-chloro-1-methylpiperidine (A) in THF yields 10-methoxy-4-(1-methyl-4-piperidyl)-4H-benzo[4,5]cyclohepta[1,2-b]thiophene-4-ol (V), which is finally dehydrated and demethylated with 3N HCl at 95-100 C. 2) The dehydrobromination of compound (II) with KOH in refluxing methanol affords 10-bromo-4H-benzo[4,5]cyclohepta[1,2-b]thiophene-4-one (VI), which is then condensed with the magnesium derivative of 4-chloro-1-methylpiperidine in THF giving 10-bromo-4-(1-methyl-4-piperidyl)-4H-benzo[4,5]cyclohepta[1,2-b]thiophene-4-ol (VII). This compound is dehydrated with 14% ethanolic HBr at 100 C giving 10-bromo-4-(1-methyl-4-piperidylidene)-4H-benzo[4,5]cyclohepta[1,2-b]thiophene (VIII) (2,3), which is finally hydrolyzed with 50% H2SO4 at 100 C. Compound (VIII) can be also be treated with piperidine and potassium terbutylate in dioxane at 130 C to give 10-piperidino-4-(1-methyl-4-piperidylidene)-4H-benzo[4,5]cyclohepta[1,2-b]thiophene (IX), which is finally hydrolyzed with refluxing 2N HCl. The starting material (II) is prepared by bromination of 9,10-dihydro-4H-benzo[4,5]cyclohepta[1,2-b]thiophene-4-one (I) with N-bromosuccinimide (B) and benzoyl peroxide in carbon tetrachloride.

Drug Information Express,Drug R&D,Chemical Database,Patent Search.
Copyright © 2006-2026 Drug Future. All rights reserved.Contact Us