【药物名称】Auranofin, SK&F-39162, Ridauran, Ridaura
化学结构式(Chemical Structure):
参考文献No.607584
标题:Oral gold. Antiarthritic properties of alkylphosphine gold coordinatin complexes
作者:Sutton, B.M.; McGusty, E.; Walz, D.T.; DiMartino ,M.J.
来源:J Med Chem 1972,15(11),1095-98
合成路线图解说明:

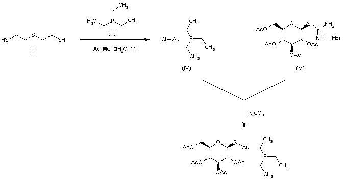
The reaction of gold acid chloride trihydrate (I) first with thiodiglycol (II) and then with triethylphosphine (III) in ethanol gives chloro(triethylphosphine)gold (IV), which is then condensed with S-(2,3,4,6-tetra-O-acetylglucopyranosil)thiopseudourea hydrobromide (V) by means of K2CO3 in water-ethanol.

参考文献No.800727
标题:Auranofin
作者:Bogan, J.A.; Casta馿r, J.
来源:Drugs Fut 1976,1(10),451
合成路线图解说明:

The reaction of gold acid chloride trihydrate (I) first with thiodiglycol (II) and then with triethylphosphine (III) in ethanol gives chloro(triethylphosphine)gold (IV), which is then condensed with S-(2,3,4,6-tetra-O-acetylglucopyranosil)thiopseudourea hydrobromide (V) by means of K2CO3 in water-ethanol.

参考文献No.800728
标题:Anti-arthritic compositions comprising a trialkylphosphinegold complex of a 1-beta-D-glucopyranoside and methods of producing anti-arthritic activity
作者:McGusty, E.R.; Sutton, B.M.
来源:US 3708579
合成路线图解说明:

The reaction of gold acid chloride trihydrate (I) first with thiodiglycol (II) and then with triethylphosphine (III) in ethanol gives chloro(triethylphosphine)gold (IV), which is then condensed with S-(2,3,4,6-tetra-O-acetylglucopyranosil)thiopseudourea hydrobromide (V) by means of K2CO3 in water-ethanol.

Drug Information Express,Drug R&D,Chemical Database,Patent Search.
Copyright © 2006-2026 Drug Future. All rights reserved.Contact Us