【药物名称】Florfenicol, Sch-25298
化学结构式(Chemical Structure):
参考文献No.701301
标题:
作者:Nagabhushan, T.L.; et al.
来源:EP 0800820
合成路线图解说明:

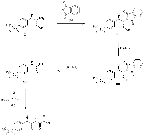
The D-(threo)-1-p-substituted-phenyl-2-dichloroacetamido-3-fluoro-1-propanol derivatives were prepared according to the following reaction sequence: The amino group of (I) was protected with phthalicanhydride (II), followed by substitution of the primary hydroxy group with diethylamine - sulfur-trifluoride to (III), deprotection with hydrazine to the amine (IV) and acetylation with methyldichloro-acetate (B) to the target compounds.

参考文献No.800403
标题:SCH-24893 and SCH-25298
作者:Kwung-ping Fu
来源:Drugs Fut 1982,7(3),172
合成路线图解说明:

The D-(threo)-1-p-substituted-phenyl-2-dichloroacetamido-3-fluoro-1-propanol derivatives were prepared according to the following reaction sequence: The amino group of (I) was protected with phthalicanhydride (II), followed by substitution of the primary hydroxy group with diethylamine - sulfur-trifluoride to (III), deprotection with hydrazine to the amine (IV) and acetylation with methyldichloro-acetate (B) to the target compounds.

Drug Information Express,Drug R&D,Chemical Database,Patent Search.
Copyright © 2006-2026 Drug Future. All rights reserved.Contact Us