【药物名称】
化学结构式(Chemical Structure):
参考文献No.483860
标题:Structure-activity relationships for 1-phenylbenzimidazoles as selective ATP site inhibitors of the platelet-derived growth factor receptor
作者:Palmer, B.D.; Smaill, J.B.; Boyd, M.; Boschelli, D.H.; Doherty, A.M.; Hamby, J.M.; Khatana, S.S.; Kramer, J.B.; Kraker, A.J.; Panek, R.L.; Lu, G.H.; Dahring, T.K.; Winters, R.T.; Showalter, H.D.; Denny, W.A.
来源:J Med Chem 1998,41(27),5457
合成路线图解说明:

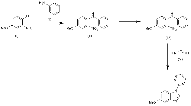
The reaction of 2-chloro-5-methoxynitrobenzene (I) with aniline (II) in basic medium gives the diphenylamine (III), which is reduced at the NO2 group with H2 over Pd/C in methanol yielding the o-phenylenediamine (IV). Finally, this compoud is cyclized with formamidine (V) in refluxing 2-methoxyethanol.

Drug Information Express,Drug R&D,Chemical Database,Patent Search.
Copyright © 2006-2026 Drug Future. All rights reserved.Contact Us