【药物名称】
化学结构式(Chemical Structure):
参考文献No.32273
标题:Novel camptothecin analogues, preparation methods therefor, use thereof as drugs, and pharmaceutical compsns. containing said analogues
作者:Bigg, D.; Lavergne, O.; Pla Rodas, F.; Pommier, J.; Ulibarri, G. (SCRAS (Societ?de Conseils de Recherches et d'Applications Scientifiques))
来源:EP 0835258; JP 1999508249; US 5981542; WO 9700876
合成路线图解说明:

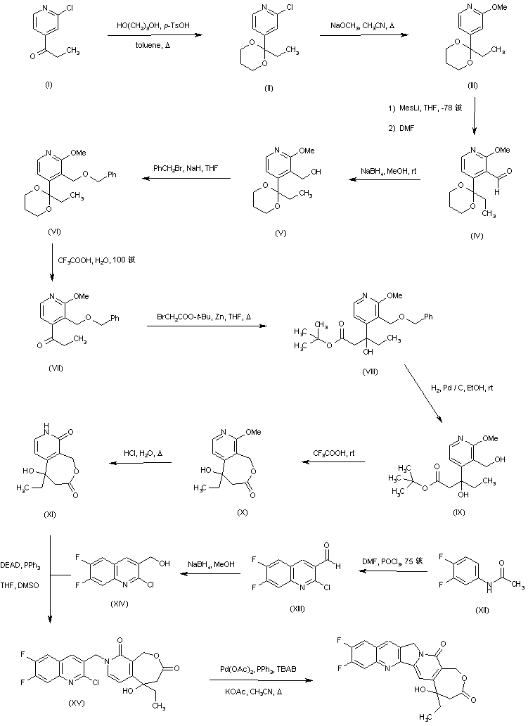
2-Chloro-4-propionylpyridine (I) was protected as the cyclic ketal (II) with 1,3-propanediol and p-toluenesulfonic acid in refluxing toluene with azeotropical removal of water. Subsequent halogen displacement in (II) with sodium methoxide in boiling acetonitrile gave methoxypyridine (III). Lithiation of (III) with mesityllithium, followed by condensation with dimethylformamide provided formylpyridine (IV), which was reduced to alcohol (V) using NaBH4 in MeOH. The hydroxyl group of (V) was protected as the benzyl ether (VI), and the ketal group was then hydrolyzed to ketone (VII) with aqueous trifluoroacetic acid. Reformatskii reaction of (VII) with tert-butyl bromoacetate and zinc afforded the beta-hydroxyester (VIII). Further hydrogenolysis of benzyl ether of (VIII) over Pd/C gave alcohol (IX). Then, treatment of (IX) with trifluoroacetic acid produced lactone (X), and hydrolysis of the methoxy group of (X) with aqueous HCl furnished pyridone (XI). Condensation of 3,4-difluoroacetanilide (XII) with Vilsmeier reagent yielded quinolinecarboxaldehyde (XIII), which was reduced to alcohol (XIV) with NaBH4. This was then coupled with pyridone (XI) under Mitsunobu conditions to give (XV). Finally, Heck reaction of (XV) with palladium acetate and triphenyl phosphine generated the target pentacyclic compound.

参考文献No.37044
标题:Pro-drugs and counterparts of camptothecin, their application as medicines
作者:Lanco, C.; Rolland, A.; Bigg, D.; Lavergne, O.; Harnett, J.; Liberatore, A.-M. (SCRAS (Societ?de Conseils de Recherches et d'Applications Scientifiques))
来源:EP 0946566; WO 9828304
合成路线图解说明:

2-Chloro-4-propionylpyridine (I) was protected as the cyclic ketal (II) with 1,3-propanediol and p-toluenesulfonic acid in refluxing toluene with azeotropical removal of water. Subsequent halogen displacement in (II) with sodium methoxide in boiling acetonitrile gave methoxypyridine (III). Lithiation of (III) with mesityllithium, followed by condensation with dimethylformamide provided formylpyridine (IV), which was reduced to alcohol (V) using NaBH4 in MeOH. The hydroxyl group of (V) was protected as the benzyl ether (VI), and the ketal group was then hydrolyzed to ketone (VII) with aqueous trifluoroacetic acid. Reformatskii reaction of (VII) with tert-butyl bromoacetate and zinc afforded the beta-hydroxyester (VIII). Further hydrogenolysis of benzyl ether of (VIII) over Pd/C gave alcohol (IX). Then, treatment of (IX) with trifluoroacetic acid produced lactone (X), and hydrolysis of the methoxy group of (X) with aqueous HCl furnished pyridone (XI). Condensation of 3,4-difluoroacetanilide (XII) with Vilsmeier reagent yielded quinolinecarboxaldehyde (XIII), which was reduced to alcohol (XIV) with NaBH4. This was then coupled with pyridone (XI) under Mitsunobu conditions to give (XV). Finally, Heck reaction of (XV) with palladium acetate and triphenyl phosphine generated the target pentacyclic compound.

参考文献No.483857
标题:Homocamptothecins: Synthesis and antitumor activity of novel E-ring-modified camptothecin analogues
作者:Lavergne, O.; Lesuer-Ginot, L.; Pla Rodas, F.; Kasprzyk, P.G.; Pommier, J.; Demarquay, D.; Prevost, G.; Ulibarri, G.; Rolland, A.; Schiano-Liberatore, A.M.; Harnett, J.; Pons, D.; Camara, J.; Bigg, D.C.
来源:J Med Chem 1998,41(27),5410
合成路线图解说明:

2-Chloro-4-propionylpyridine (I) was protected as the cyclic ketal (II) with 1,3-propanediol and p-toluenesulfonic acid in refluxing toluene with azeotropical removal of water. Subsequent halogen displacement in (II) with sodium methoxide in boiling acetonitrile gave methoxypyridine (III). Lithiation of (III) with mesityllithium, followed by condensation with dimethylformamide provided formylpyridine (IV), which was reduced to alcohol (V) using NaBH4 in MeOH. The hydroxyl group of (V) was protected as the benzyl ether (VI), and the ketal group was then hydrolyzed to ketone (VII) with aqueous trifluoroacetic acid. Reformatskii reaction of (VII) with tert-butyl bromoacetate and zinc afforded the beta-hydroxyester (VIII). Further hydrogenolysis of benzyl ether of (VIII) over Pd/C gave alcohol (IX). Then, treatment of (IX) with trifluoroacetic acid produced lactone (X), and hydrolysis of the methoxy group of (X) with aqueous HCl furnished pyridone (XI). Condensation of 3,4-difluoroacetanilide (XII) with Vilsmeier reagent yielded quinolinecarboxaldehyde (XIII), which was reduced to alcohol (XIV) with NaBH4. This was then coupled with pyridone (XI) under Mitsunobu conditions to give (XV). Finally, Heck reaction of (XV) with palladium acetate and triphenyl phosphine generated the target pentacyclic compound.

Drug Information Express,Drug R&D,Chemical Database,Patent Search.
Copyright © 2006-2026 Drug Future. All rights reserved.Contact Us