【药物名称】
化学结构式(Chemical Structure):
参考文献No.486234
标题:Structure-based design, synthesis and evaluation of conformationally constrained cysteine protease inhibitors
作者:Scheidt, K.A.; Roush, W.R.; McKerrow, J.H.; Selzer, P.M.; Hansell, E.; Rosenthal, P.J.
来源:Bioorg Med Chem 1998,6(12),2477
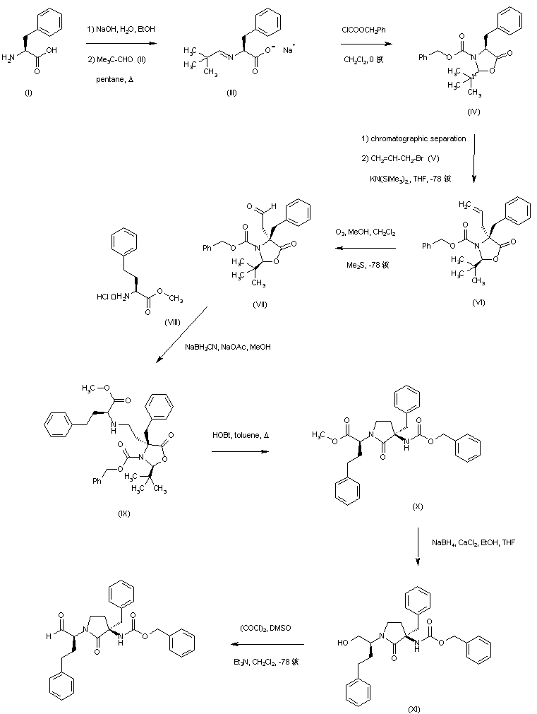
合成路线图解说明:

The sodium salt of L-phenylalanine (I) was condensed with pivalaldehyde (II) in boiling pentane to afford imine (III). Subsequent reaction of (III) with benzyl chloroformate generated oxazolidinone (IV) as a 9:1 mixture of diastereoisomers, which were separated chromatographically. The required cis compound was treated with allyl bromide (V) in the presence of potassium hexamethyldisilazide in THF at -78 C to provide (VI) as the major isomer. Aldehyde (VII) was then obtained by ozonolysis of (VI) at -78 C. Reductive amination of (VII) with L-homophenylalanine methyl ester (VIII) using NaBH3CN yielded the corresponding amine (IX) which, upon heating in toluene in the presence of 1-hydroxybenzotriazole, afforded pyrrolidinone (X). Reduction of the ester function of (X) with Ca(BH4)2 gave alcohol (XI), which was finally oxidized under Swern conditions to the target aldehyde.

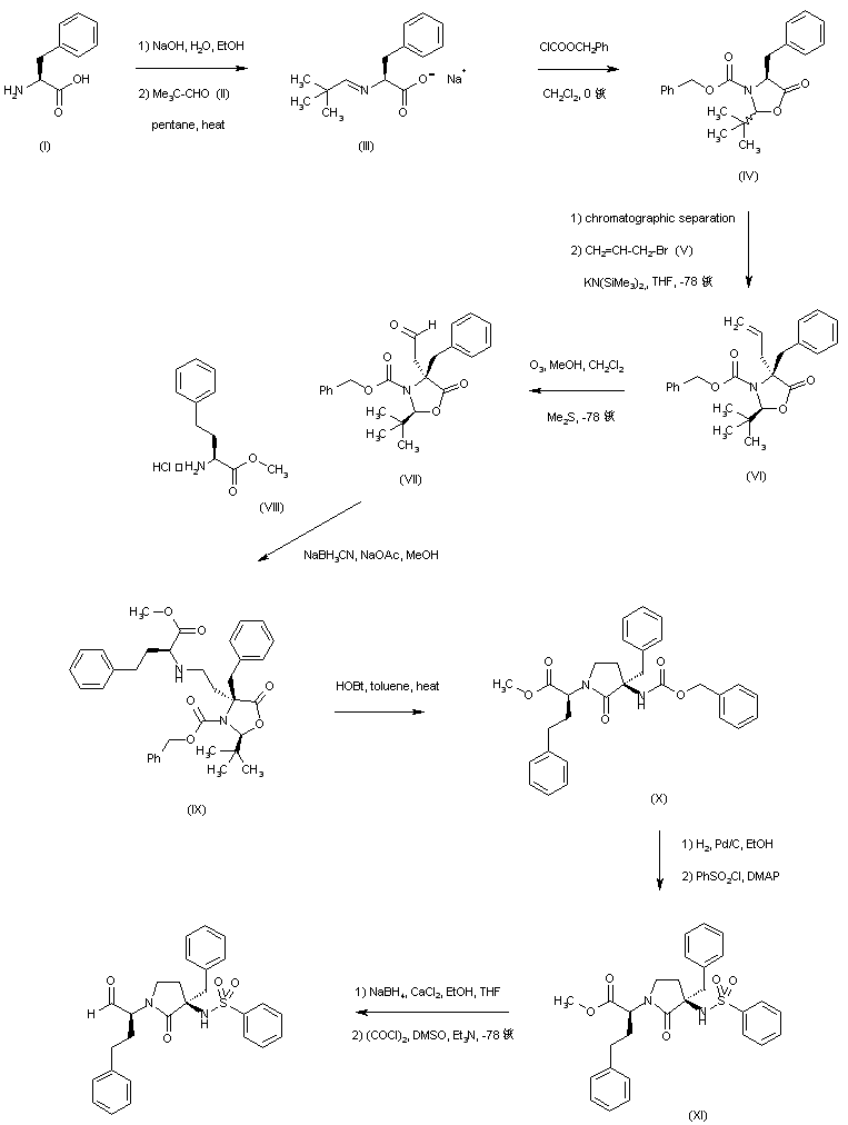
合成路线图解说明:

The sodium salt of L-phenylalanine (I) was condensed with pivalaldehyde (II) in boiling pentane to afford imine (III). Subsequent reaction of (III) with benzyl chloroformate generated oxazolidinone (IV) as a 9:1 mixture of diastereoisomers, which were separated chromatographically. The required cis compound was treated with allyl bromide (V) in the presence of potassium hexamethyldisilazide in THF at -78 C to provide (VI) as the major isomer. Aldehyde (VII) was then obtained by ozonolysis of (VI) at -78 C. Reductive amination of (VII) with L-homophenylalanine methyl ester (VIII) using NaBH3CN yielded the corresponding amine (IX) which, upon heating in toluene in the presence of 1-hydroxybenzotriazole, afforded pyrrolidinone (X). The carbobenzoxy group of (X) was then removed by hydrogenolysis over Pd/C, and the resulting amine was acylated with benzenesulfonyl chloride to produce sulfonamide (XI). Finally, the target aldehyde was obtained by the sequence of ester reduction of (XI) with Ca(BH4)2, followed by Swern oxidation of the resulting alcohol.

Drug Information Express,Drug R&D,Chemical Database,Patent Search.
Copyright © 2006-2026 Drug Future. All rights reserved.Contact Us