【药物名称】BAS-118
化学结构式(Chemical Structure):
参考文献No.38085
标题:Amide derivs.
作者:Ando, R.; Watanabe, K.; Chiba, N.; Kawamura, M. (Mitsubishi Chemical Corp.)
来源:EP 0887341; JP 1999071336
合成路线图解说明:

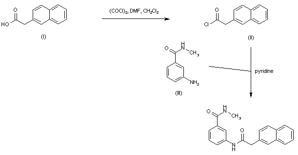
2-Naphthylacetic acid (I) was converted to the corresponding acid chloride (II) upon treatment with oxalyl chloride in the presence of a catalytic amount of DMF. Subsequent coupling of acid chloride (II) with N-methyl-3-aminobenzamide (III) in pyridine furnished the target diamide.

参考文献No.629922
标题:3-(Arylacetylamino)-N-methylbenzamides: New class of selective anti-Helicobacter pylori agents
作者:Ando, R.; et al.
来源:222nd ACS Natl Meet (Aug 26 2001, Chicago) 2001,Abst MEDI 248
合成路线图解说明:

2-Naphthylacetic acid (I) was converted to the corresponding acid chloride (II) upon treatment with oxalyl chloride in the presence of a catalytic amount of DMF. Subsequent coupling of acid chloride (II) with N-methyl-3-aminobenzamide (III) in pyridine furnished the target diamide.

参考文献No.643498
标题:3-(Arylacetylamino)-N-methylbenzamides: A novel class of selective anti-Helicobacter pylori agents
作者:Ando, R.; Kawamura, M.; Chiba, N.
来源:J Med Chem 2001,44(25),4468
合成路线图解说明:

2-Naphthylacetic acid (I) was converted to the corresponding acid chloride (II) upon treatment with oxalyl chloride in the presence of a catalytic amount of DMF. Subsequent coupling of acid chloride (II) with N-methyl-3-aminobenzamide (III) in pyridine furnished the target diamide.

Drug Information Express,Drug R&D,Chemical Database,Patent Search.
Copyright © 2006-2026 Drug Future. All rights reserved.Contact Us