【药物名称】SNAP-5540
化学结构式(Chemical Structure):
参考文献No.483130
标题:Design and synthesis of novel alpha1a adrenoceptor-selective dihydropyridine antagonists for the treatment of benign prostatic hyperplasia
作者:Nagarathnam, D.; Wetzel, J.M.; Miao, S.W.; Marzabadi, M.R.; Chiu, G.; Wong, W.C.; Hong, X.; Fang, J.; Forray, C.; Branchek, T.A.; Heydorn, W.E.; Chang, R.S.; Broten, T.; Schorn, T.W.; Gluchowski, C.
来源:J Med Chem 1998,41(26),5320
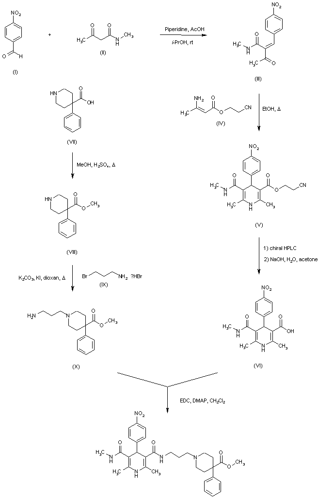
合成路线图解说明:

Condensation of 4-nitrobenzaldehyde (I) with N-methyl acetoacetamide (II) in the presence of piperidine acetate gave benzylideneacetoacetamide (III). This was further condensed with 2-cyanoethyl 3-amino-2-butenoate (IV) to provide dihydropyridine (V), which was resolved into the enantiomers using chiral HPLC. Then, basic hydrolysis of the cyanoethyl ester from the appropriate enantiomer of (V) yielded carboxylic acid (VI). The aminopropyl piperidine (X) was obtained by esterification of 4-phenyl-4-piperidinecarboxylic acid (VII) with MeOH and H2SO4, followed by alkylation of piperidine (VIII) with 3-bromopropylamine (IX). Finally, amine (X) was coupled to acid (VI) by means of EDC and DMAP to furnish the target compound.

Drug Information Express,Drug R&D,Chemical Database,Patent Search.
Copyright © 2006-2026 Drug Future. All rights reserved.Contact Us