【药物名称】Synadenol-(R)-(-), (R)-(-)-Synadenol
化学结构式(Chemical Structure):
参考文献No.443722
标题:(Z)- and (E)-2-((Hydroxymethyl)cyclopropylidene)methyladenine and -guanine. New nucleoside analogues with a broad-spectrum antiviral activity
作者:Qiu, Y.-L.; et al.
来源:J Med Chem 1998,41(1),10
合成路线图解说明:

The addition of ethyl diazoacetate (II) to 2,3-dibromopropene (I) catalyzed by dirhodium tetraacetate in CH2Cl2 yielded a mixture of E- (III) and Z- (IV) cyclopropanes. Alkylation of adenine (V) with the mixture of bromoesters (III) and (IV) in the presence of either NaH in DMF at r.t. or K2CO3 at 80 C provided the diastereomeric (cyclopropylmethyl)adenines (VI). Elimination of HBr was carried out with potassium tert-butoxide in cold DMF or with NaH in THF to yield an unseparable mixture of Z- (VII) and E- (VIII) methylene cyclopropanes. Alternatively, simultaneous alkylation of adenine (V) and elimination of HBr to give (VII) + (VIII) was effected using K2CO3 in DMF at 100 C. Reduction of the ester groups of (VII) and (VIII) with DIBALH afforded a mixture of the racemic (Z) title compound (IX) and its its E-isomer (X). The unseparable mixture of (IX) and (X) was treated with dimethylformamide dimethylacetal in DMF to give the corresponding (dimethylamino)methylene derivatives that allowed a chromatographic separation. The desired racemic (Z)-isomer (XI) was further deprotected in methanolic ammonia to furnish racemic (IX) (1). Optical resolution was then achieved on treatment with adenosine deaminase, to produce the (Z)(S)-(+)-hypoxanthine derivative (XII) that was separated chromatographically from the unchanged (Z)(R)-(-)-isomer, the target compound.

合成路线图解说明:

A related synthesis for the racemic compound (IX) has been reported. This involves initial reduction of the diasteromeric esters (III) and (IV) to the corresponding alcohols (XIII) with DIBALH. The hydroxyl group of (XIII) was then protected as either the benzoate ester (XIV) with benzoyl bromide in pyridine, or as the methoxymethyl (MOM) ether, using chloromethyl methyl ether and diisopropyl ethylamine, which furnished dibromo- (XV) along with bromochlorocompound (XVI). The alkylation-elimination reaction of dibromide (XIV) using adenine (V) and K2CO3 in DMF at 95 C gave an unseparable mixture of Z- (XVII) and E- (XVIII) methylene cyclopropanes. The benzoate esters (XVII) + (XVIII) were then deprotected in methanolic ammonia to afford a mixture of the target racemic Z-olefin (IX) and its E-isomer (X). In contrast, the alkylation-elimination products (XIX) and (XX) from the MOM-protected halides (XV) + (XVI) could be separed by chromatography. Deprotection of the desired Z-isomer (XX) with methanolic HCl provided racemic (IX).

合成路线图解说明:

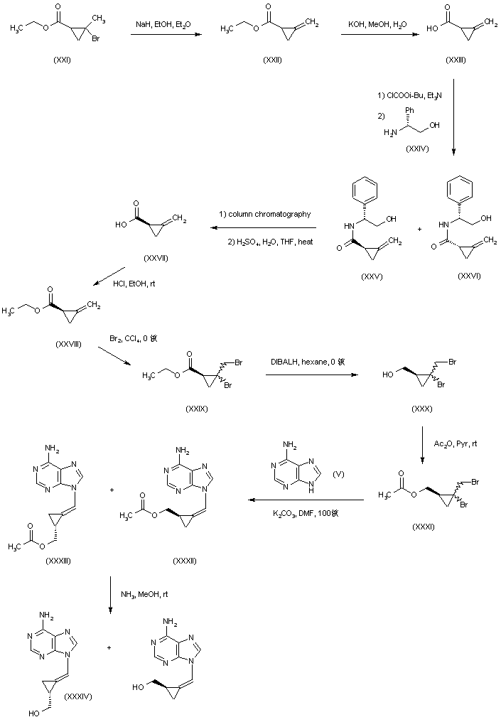
An asymmetric synthesis of the (Z)(R)-enantioner has also been reported. Treatment of bromide (XXI) with NaOEt in Et2O provided ethyl methylenecyclopropanecarboxylate (XXII). Saponification of the ester group of (XXII) afforded racemic acid (XXIII) which, after activation as the mixed anhydride with isobutyl chloroformate, was coupled with (R)-phenylglycinol (XXIV) to yield a mixture of diastereomeric amides (XXV) and (XXVI). Chromatographic separation of the desired (R,R)-diastereoisomer (XXV) was followed by acid hydrolysis to furnish the (R)-acid (XXVII), which was subsequently esterified to (XXVIII) in ethanolic HCl. Addition of Br2 to (XXVIII) produced a mixture of (1S,2S)- and (1S,2R)-dibromoesters (XXIX). Further reduction of (XXIX) to alcohols (XXX) with DIBALH was followed by acetylation with Ac2O in pyridine yielding (XXXI). The alkylation-elimination procedure of the resulting bromides (XXXI) with adenine (V) afforded a mixture of (Z)(R) (XXXII) and (E)(R)- (XXXIII) olefins. Finally, deacetylation with ammonia in MeOH gave a mixture of the target (Z)(R)-compound and the corresponding E-isomer (XXXIV), which were not separed but used for analytical confirmation of the configuration of the title compound.

参考文献No.483126
标题:(R)-(-)- and (S)-(+)-synadenol: Synthesis, absolute configuration, and enantioselectivity of antiviral effect
作者:Qiu, Y.-L.; Hempel, A.; Camerman, N.; Camerman, A.; Geiser, F.; Ptak, R.G.; Breitenbach, J.M.; Kira, T.; Li, L.; Gullen, E.; Cheng, Y.C.; Drach, J.C.; Zemlicka, J.
来源:J Med Chem 1998,41(26),5257
合成路线图解说明:

The addition of ethyl diazoacetate (II) to 2,3-dibromopropene (I) catalyzed by dirhodium tetraacetate in CH2Cl2 yielded a mixture of E- (III) and Z- (IV) cyclopropanes. Alkylation of adenine (V) with the mixture of bromoesters (III) and (IV) in the presence of either NaH in DMF at r.t. or K2CO3 at 80 C provided the diastereomeric (cyclopropylmethyl)adenines (VI). Elimination of HBr was carried out with potassium tert-butoxide in cold DMF or with NaH in THF to yield an unseparable mixture of Z- (VII) and E- (VIII) methylene cyclopropanes. Alternatively, simultaneous alkylation of adenine (V) and elimination of HBr to give (VII) + (VIII) was effected using K2CO3 in DMF at 100 C. Reduction of the ester groups of (VII) and (VIII) with DIBALH afforded a mixture of the racemic (Z) title compound (IX) and its its E-isomer (X). The unseparable mixture of (IX) and (X) was treated with dimethylformamide dimethylacetal in DMF to give the corresponding (dimethylamino)methylene derivatives that allowed a chromatographic separation. The desired racemic (Z)-isomer (XI) was further deprotected in methanolic ammonia to furnish racemic (IX) (1). Optical resolution was then achieved on treatment with adenosine deaminase, to produce the (Z)(S)-(+)-hypoxanthine derivative (XII) that was separated chromatographically from the unchanged (Z)(R)-(-)-isomer, the target compound.

合成路线图解说明:

A related synthesis for the racemic compound (IX) has been reported. This involves initial reduction of the diasteromeric esters (III) and (IV) to the corresponding alcohols (XIII) with DIBALH. The hydroxyl group of (XIII) was then protected as either the benzoate ester (XIV) with benzoyl bromide in pyridine, or as the methoxymethyl (MOM) ether, using chloromethyl methyl ether and diisopropyl ethylamine, which furnished dibromo- (XV) along with bromochlorocompound (XVI). The alkylation-elimination reaction of dibromide (XIV) using adenine (V) and K2CO3 in DMF at 95 C gave an unseparable mixture of Z- (XVII) and E- (XVIII) methylene cyclopropanes. The benzoate esters (XVII) + (XVIII) were then deprotected in methanolic ammonia to afford a mixture of the target racemic Z-olefin (IX) and its E-isomer (X). In contrast, the alkylation-elimination products (XIX) and (XX) from the MOM-protected halides (XV) + (XVI) could be separed by chromatography. Deprotection of the desired Z-isomer (XX) with methanolic HCl provided racemic (IX).

合成路线图解说明:

An asymmetric synthesis of the (Z)(R)-enantioner has also been reported. Treatment of bromide (XXI) with NaOEt in Et2O provided ethyl methylenecyclopropanecarboxylate (XXII). Saponification of the ester group of (XXII) afforded racemic acid (XXIII) which, after activation as the mixed anhydride with isobutyl chloroformate, was coupled with (R)-phenylglycinol (XXIV) to yield a mixture of diastereomeric amides (XXV) and (XXVI). Chromatographic separation of the desired (R,R)-diastereoisomer (XXV) was followed by acid hydrolysis to furnish the (R)-acid (XXVII), which was subsequently esterified to (XXVIII) in ethanolic HCl. Addition of Br2 to (XXVIII) produced a mixture of (1S,2S)- and (1S,2R)-dibromoesters (XXIX). Further reduction of (XXIX) to alcohols (XXX) with DIBALH was followed by acetylation with Ac2O in pyridine yielding (XXXI). The alkylation-elimination procedure of the resulting bromides (XXXI) with adenine (V) afforded a mixture of (Z)(R) (XXXII) and (E)(R)- (XXXIII) olefins. Finally, deacetylation with ammonia in MeOH gave a mixture of the target (Z)(R)-compound and the corresponding E-isomer (XXXIV), which were not separed but used for analytical confirmation of the configuration of the title compound.

参考文献No.537108
标题:A new efficient synthesis of antiviral methylenecyclopropane analogs of purine nucleosides
作者:Zemilicka, J.; Qiu, Y.-L.
来源:Synthesis 1998,(10),1447-1452
合成路线图解说明:

The addition of ethyl diazoacetate (II) to 2,3-dibromopropene (I) catalyzed by dirhodium tetraacetate in CH2Cl2 yielded a mixture of E- (III) and Z- (IV) cyclopropanes. Alkylation of adenine (V) with the mixture of bromoesters (III) and (IV) in the presence of either NaH in DMF at r.t. or K2CO3 at 80 C provided the diastereomeric (cyclopropylmethyl)adenines (VI). Elimination of HBr was carried out with potassium tert-butoxide in cold DMF or with NaH in THF to yield an unseparable mixture of Z- (VII) and E- (VIII) methylene cyclopropanes. Alternatively, simultaneous alkylation of adenine (V) and elimination of HBr to give (VII) + (VIII) was effected using K2CO3 in DMF at 100 C. Reduction of the ester groups of (VII) and (VIII) with DIBALH afforded a mixture of the racemic (Z) title compound (IX) and its its E-isomer (X). The unseparable mixture of (IX) and (X) was treated with dimethylformamide dimethylacetal in DMF to give the corresponding (dimethylamino)methylene derivatives that allowed a chromatographic separation. The desired racemic (Z)-isomer (XI) was further deprotected in methanolic ammonia to furnish racemic (IX) (1). Optical resolution was then achieved on treatment with adenosine deaminase, to produce the (Z)(S)-(+)-hypoxanthine derivative (XII) that was separated chromatographically from the unchanged (Z)(R)-(-)-isomer, the target compound.

合成路线图解说明:

A related synthesis for the racemic compound (IX) has been reported. This involves initial reduction of the diasteromeric esters (III) and (IV) to the corresponding alcohols (XIII) with DIBALH. The hydroxyl group of (XIII) was then protected as either the benzoate ester (XIV) with benzoyl bromide in pyridine, or as the methoxymethyl (MOM) ether, using chloromethyl methyl ether and diisopropyl ethylamine, which furnished dibromo- (XV) along with bromochlorocompound (XVI). The alkylation-elimination reaction of dibromide (XIV) using adenine (V) and K2CO3 in DMF at 95 C gave an unseparable mixture of Z- (XVII) and E- (XVIII) methylene cyclopropanes. The benzoate esters (XVII) + (XVIII) were then deprotected in methanolic ammonia to afford a mixture of the target racemic Z-olefin (IX) and its E-isomer (X). In contrast, the alkylation-elimination products (XIX) and (XX) from the MOM-protected halides (XV) + (XVI) could be separed by chromatography. Deprotection of the desired Z-isomer (XX) with methanolic HCl provided racemic (IX).

合成路线图解说明:

An asymmetric synthesis of the (Z)(R)-enantioner has also been reported. Treatment of bromide (XXI) with NaOEt in Et2O provided ethyl methylenecyclopropanecarboxylate (XXII). Saponification of the ester group of (XXII) afforded racemic acid (XXIII) which, after activation as the mixed anhydride with isobutyl chloroformate, was coupled with (R)-phenylglycinol (XXIV) to yield a mixture of diastereomeric amides (XXV) and (XXVI). Chromatographic separation of the desired (R,R)-diastereoisomer (XXV) was followed by acid hydrolysis to furnish the (R)-acid (XXVII), which was subsequently esterified to (XXVIII) in ethanolic HCl. Addition of Br2 to (XXVIII) produced a mixture of (1S,2S)- and (1S,2R)-dibromoesters (XXIX). Further reduction of (XXIX) to alcohols (XXX) with DIBALH was followed by acetylation with Ac2O in pyridine yielding (XXXI). The alkylation-elimination procedure of the resulting bromides (XXXI) with adenine (V) afforded a mixture of (Z)(R) (XXXII) and (E)(R)- (XXXIII) olefins. Finally, deacetylation with ammonia in MeOH gave a mixture of the target (Z)(R)-compound and the corresponding E-isomer (XXXIV), which were not separed but used for analytical confirmation of the configuration of the title compound.

Drug Information Express,Drug R&D,Chemical Database,Patent Search.
Copyright © 2006-2026 Drug Future. All rights reserved.Contact Us