【药物名称】RTI-5989-29
化学结构式(Chemical Structure):
参考文献No.483121
标题:Identification of an opioid kappa receptor subtype-selective N-substituent for (+)-(3R,4R)-dimethyl-4-(3-hydroxyphenyl)piperidine
作者:Thomas, J.B.; Fall, M.J.; Cooper, J.B.; Rothman, R.B.; Mascarella, S.W.; Xu, H.; Partilla, J.S.; Dersch, C.M.; McCullough, K.B.; Cantrell, B.E.; Zimmerman, D.M.; Carroll, F.I.
来源:J Med Chem 1998,41(26),5188
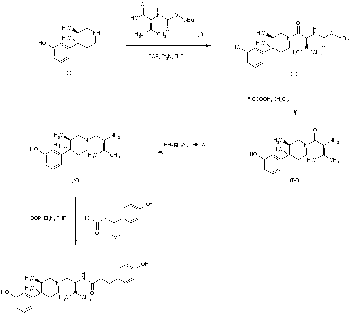
合成路线图解说明:

Coupling of (3R,4R)-dimethyl-4-(3-hydroxyphenyl)piperidine (I) with N-Boc-L-valine (II) using benzotriazolyloxy-tris(dimethylamino)phosphonium hexafluorophosphate (BOP) provided amide (III). After deprotection of the Boc group of (III) with trifluoroacetic acid, the resulting valyl amide (IV) was reduced with BH3-Me2S to afford diamine (V). Finally, coupling of (V) with 3-(4-hydroxyphenyl)propionic acid (VI) in the presence of BOP yielded the target compound.

Drug Information Express,Drug R&D,Chemical Database,Patent Search.
Copyright © 2006-2026 Drug Future. All rights reserved.Contact Us