【药物名称】NIP-530
化学结构式(Chemical Structure):
参考文献No.37738
标题:Benzimidazole deriv.
作者:Kamikawaji, Y.; Tanikawa, K.; Yamamoto, A.; Hirotsuka, M.; Iwama, T.; Fujita, Y. (Nissan Chemical Industry, Ltd.)
来源:EP 0980359; JP 1999315071; US 6114369; WO 9850368
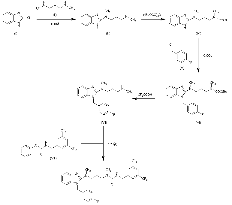
合成路线图解说明:

The reaction of 2-chlorobenzimidazole (I) with N,N'-dimethylprolylene-1,3-diamine (II) by heating at 130 C gives N-(1H-benzimidazol-2-yl)-N,N'-dimethylpropylene-1,3-diamine (III), which is treated with tert-butoxycarbonyl anhydride yielding the carbamate (IV). The condensation of (IV) with 4-fluorobenzyl chloride (V) by means of K2CO3 in DMF affords N-(benzyloxycarbonyl)-N'-[1-(4-fluorobenzyl)benzimidazol-2-yl)-N,N'-dimethylpropylene-1,3-diamine (VI), which is deprotected with trifluoroacetic acid providing the secondary amine (VII). Finally, this compound is condensed with phenyl N-[3,5-bis(trifluoromethyl)benzyl]carbamate (VIII) by heating at 120 C.

Drug Information Express,Drug R&D,Chemical Database,Patent Search.
Copyright © 2006-2026 Drug Future. All rights reserved.Contact Us