【药物名称】SM-256
化学结构式(Chemical Structure):
参考文献No.562713
标题:Disubstituted indazolines as potent antagonists of the integrin alphavbeta3
作者:Batt, D.G.; Petraitis, J.J.; Houghton, G.C.; Modi, D.P.; Cain, G.A.; Corjay, M.H.; Mousa, S.A.; Bouchard, P.J.; Forsythe, M.S.; Harlow, P.P.; Barbera, F.A.; Spitz, S.M.; Wexler, R.R.; Jadhav, P.K.
来源:J Med Chem 2000,43(1),41
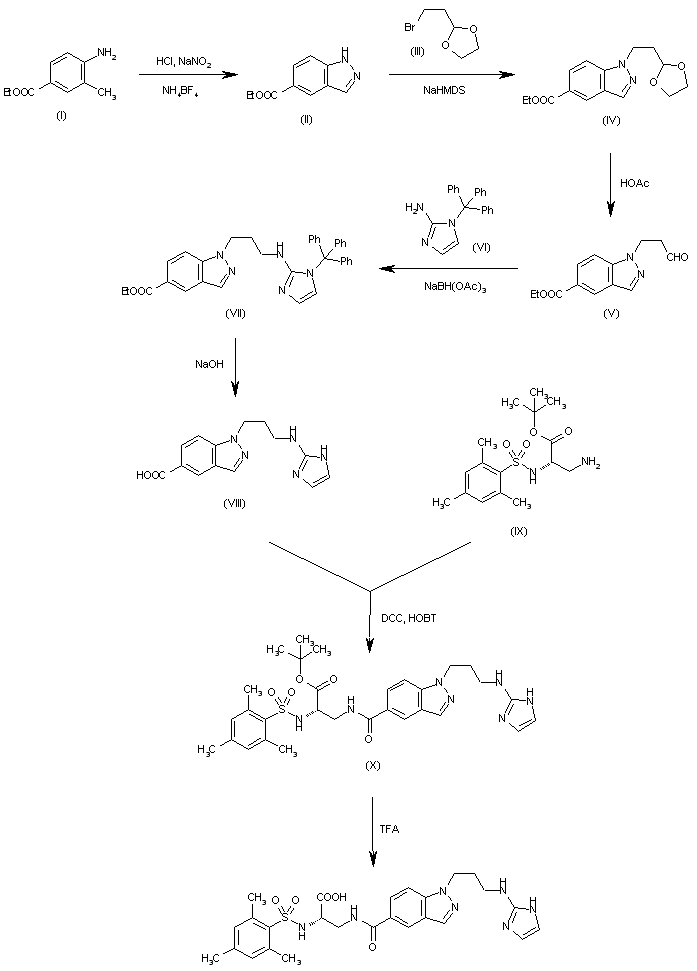
合成路线图解说明:

The cyclization of 4-amino-3-methylbenzoic acid ethyl ester (I) by reaction with NaNO2 and HCl catalyzed by NH4BF4 gives indazole-5-carboxylic acid ethyl ester (II), which is condensed with 2-(2-bromoethyl)-1,3-dioxolane (III) by means of sodium hexamethyldisylazane (NaHMDS) yielding the addition product (IV). The hydrolysis of the dioxolane ring of (IV) with AcOH affords the aldehyde (V), which is reductocondensed with 1-tritylimidazole-2-amine (VI) by means of NaBH(OAc)3 providing the intermediate (VII). The hydrolysis of (VII) with NaOH in ethanol/water gives the carboxylic acid (VIII), which is condensed with the 3-aminopropionic ester (IX) by means of DCC and HOBT yielding the amide (X). Finally, the tert-butyl ester of (X) is hydrolyzed with TFA in dichloromethane.

Drug Information Express,Drug R&D,Chemical Database,Patent Search.
Copyright © 2006-2026 Drug Future. All rights reserved.Contact Us