【药物名称】S-33138
化学结构式(Chemical Structure):
参考文献No.38090
标题:Chromene derivs., process for their preparation and pharmaceutical compsns. containing them
作者:Lejeune, F.; Hautefaye, P.; Millan, M.; Dubuffet, T.; Lavielle, G. (ADIR et Cie.)
来源:EP 0887350; JP 1999071376; US 6090837
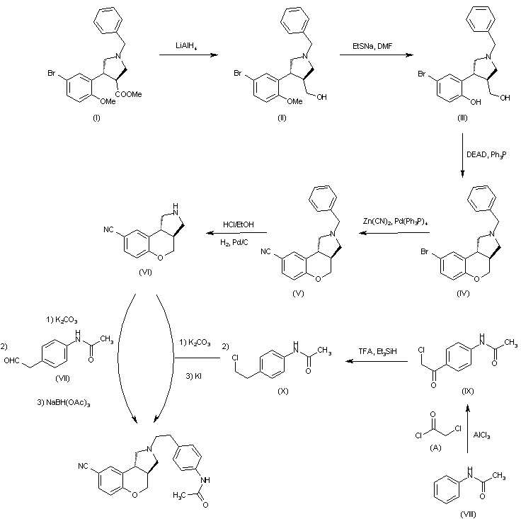
合成路线图解说明:

The reduction of the ester function of (I) with LiAlH4 in THF gives (II). O-demethylation of (II) with EtSNa in DMF yields alcohol (III), which is then cyclized by Mitsunobu reaction with DEAD稰h3P in THF to yield (IV). Displacement of the Br of (IV) by means of Zn(CN)2 and Pd(PPh3)4 in DMF affords cyano derivative (V), which is then converted into (VI) after debenzylation by treatment with HCl/EtOH and H2 over Pd/C. Finally (VI) is coupled with aldehyde (VII) by reductive amination in 1,2-dichloroethane in presence of NaBH(OAc)3. Alternatively the final product can be obtained by reaction of (VI) with chloro derivative (X) in CH3CN in presence of K2CO3 and KI. (X) can be obtained by acylation of acetanilide (VIII) with chloride (A) in 1,2-dichloroethane in presence of AlCl3 followed by treatment with TFA and Et3SiH.

合成路线图解说明:

Coupling of 4-aminobutanol (VII) with 4-phenylbenzoyl chloride (VIII) produced hydroxy amide (IX). Further Swern oxidation of the alcohol group of (IX) using oxalyl chloride and DMSO afforded aldehyde (X). Finally, reductive condensation of aldehyde (X) with pyrrolidine (VI) in the presence of NaBH(OAc)3 afforded the title compound.

参考文献No.545754
标题:Novel benzopyrano[3,4-c]pyrrole derivatives as potent and selective dopamine D3 receptor antagonists
作者:Dubuffet, T.; Newman-Tancred, A.; Cussac, D.; Audinot, V.; Loutz, A.; Millan, M.J.; Lavielle, G.
来源:Bioorg Med Chem Lett 1999,9(14),2059
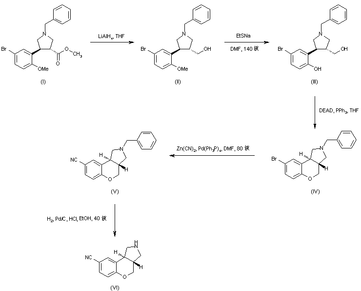
合成路线图解说明:

The reduction of the ester function of (I) with LiAlH4 in THF gives (II). O-demethylation of (II) with EtSNa in DMF yields alcohol (III), which is then cyclized by Mitsunobu reaction with DEAD稰h3P in THF to yield (IV). Displacement of the Br of (IV) by means of Zn(CN)2 and Pd(PPh3)4 in DMF affords cyano derivative (V), which is then converted into (VI) after debenzylation by treatment with HCl/EtOH and H2 over Pd/C. Finally (VI) is coupled with aldehyde (VII) by reductive amination in 1,2-dichloroethane in presence of NaBH(OAc)3. Alternatively the final product can be obtained by reaction of (VI) with chloro derivative (X) in CH3CN in presence of K2CO3 and KI. (X) can be obtained by acylation of acetanilide (VIII) with chloride (A) in 1,2-dichloroethane in presence of AlCl3 followed by treatment with TFA and Et3SiH.

合成路线图解说明:

Reduction of the ester function of trans pyrrolidine (I) with LiAlH4 gave alcohol (II). Subsequent cleavage of the methyl ether of (II) using EtSNa in hot DMF furnished diol (III), which was submitted to ring closure under Mitsunobu conditions, yielding chromene (IV). The 8-cyano group was introduced by displacement of the bromine of (IV) by means of Zn(CN)2 and Pd(PPh3)4 in DMF. The resulting nitrile (V) was N-debenzylated by hydrogenolysis over Pd/C to provide intermediate (VI).

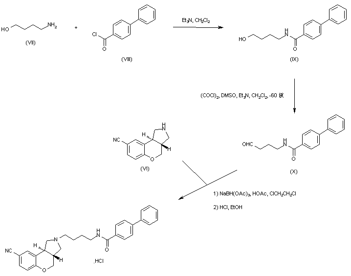
合成路线图解说明:

Coupling of 4-aminobutanol (VII) with 4-phenylbenzoyl chloride (VIII) produced hydroxy amide (IX). Further Swern oxidation of the alcohol group of (IX) using oxalyl chloride and DMSO afforded aldehyde (X). Finally, reductive condensation of aldehyde (X) with pyrrolidine (VI) in the presence of NaBH(OAc)3 afforded the title compound.

Drug Information Express,Drug R&D,Chemical Database,Patent Search.
Copyright © 2006-2026 Drug Future. All rights reserved.Contact Us