【药物名称】
化学结构式(Chemical Structure):
参考文献No.38940
标题:Purine derivs. and processes for their preparation
作者:Capraro, H.-G.; Zimmermann, J.; Furet, P.; Peterli, P. (Novartis AG)
来源:JP 1999514336; WO 9716452
合成路线图解说明:

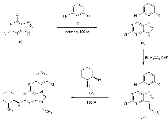
Condensation of 2,6-dichloropurine (I) with 3-chloroaniline (II) in hot pentanol yielded the 6-anilino purine (III). This was then alkylated at the N-9 with iodoethane and K2CO3 to afford (IV). Finally, displacement of the 2-chloro of (IV) with cis-1,2-cyclohexanediamine (V) at 150 C furnished the title compound.

参考文献No.482615
标题:2,6,9-Trisubstituted purines: Optimization towards highly potent and selective CDK1 inhibitors
作者:Imbach, P.; Capraro, H.G.; Furet, P.; Mett, H.; Meyer, T.; Zimmermann, J.
来源:Bioorg Med Chem Lett 1999,9(1),91
合成路线图解说明:

Condensation of 2,6-dichloropurine (I) with 3-chloroaniline (II) in hot pentanol yielded the 6-anilino purine (III). This was then alkylated at the N-9 with iodoethane and K2CO3 to afford (IV). Finally, displacement of the 2-chloro of (IV) with cis-1,2-cyclohexanediamine (V) at 150 C furnished the title compound.

Drug Information Express,Drug R&D,Chemical Database,Patent Search.
Copyright © 2006-2026 Drug Future. All rights reserved.Contact Us