【药物名称】
化学结构式(Chemical Structure):
参考文献No.482609
标题:Highly constrained dipeptoid analogues containing a type II' beta-turn mimic as novel and selective CCK-A receptor ligands
作者:de la Figuera, N.; Mart韓-Mart韓ez, M.; Herranz, R.; Garc韆-L髉ez, M.T.; Latorre, M.; Cenarruzabeitia, E.; del Rio, J.; Gonz醠ez-Mu駃z, R.
来源:Bioorg Med Chem Lett 1999,9(1),43
合成路线图解说明:

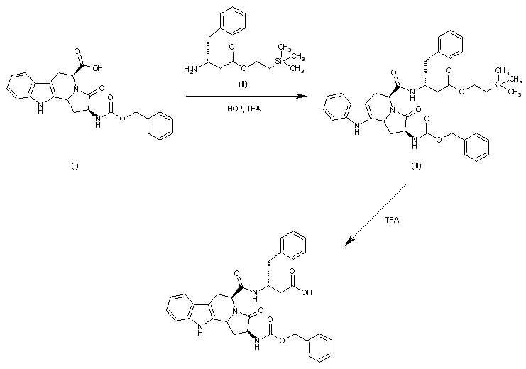
The condensation of carboxylic acid derivative (I) with the chiral amino acid trimethylsilylethyl ester (II) by means of BOP and triethylamine gives the amide (III), which is hydrolyzed at the trimethylsilylethyl ester with TFA to afford the target compound.

合成路线图解说明:

The condensation of carboxylic acid derivative (I) with the chiral amino acid trimethylsilylethyl ester (II) by means of BOP and triethylamine gives the amide (III), which is hydrolyzed at the trimethylsilylethyl ester with TFA to afford the target compound.

Drug Information Express,Drug R&D,Chemical Database,Patent Search.
Copyright © 2006-2026 Drug Future. All rights reserved.Contact Us