【药物名称】RWJ-38063
化学结构式(Chemical Structure):
参考文献No.37794
标题:Arylsubstd. piperazines useful in the treatment of benign prostatic hyperplasia
作者:Mulcahy, L.; Pulito, V.; Villani, F.; Li, X.; Murray, W.; Maryanoff, C.; Jolliffe, L.; Reitz, A. (Ortho-McNeil Pharmaceutical, Inc.)
来源:EP 0984777; US 6071915; WO 9851298
合成路线图解说明:

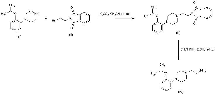
The intermediate amine (IV) was prepared by alkylation of N-(2-isopropoxyphenyl)piperazine (I) with N-(2-bromoethyl)phthalimide (II), followed by removal of the phthaloyl group upon treatment with methylhydrazine.

合成路线图解说明:

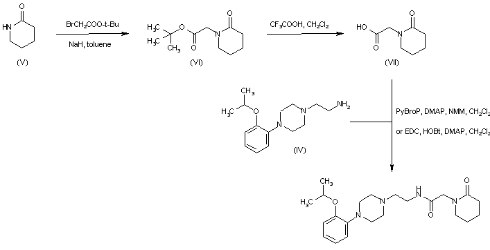
Alkylation of delta-valerolactam (V) with tert-butyl bromoacetate in the presence of NaH provided (VI). Subsequent tert-butyl ester cleavage by means of trifluoroacetic acid furnished 2-(2-oxopiperidin-1-yl)acetic acid (VII), which was finally coupled with amine (IV) to afford the title amide.

参考文献No.581812
标题:Novel arylpiperazines as selective alpha1-adrenergic receptor antagonists
作者:Li, X.; Murray, W.V.; Jolliffe, L.; Pulito, V.
来源:Bioorg Med Chem Lett 2000,10(10),1093
合成路线图解说明:

The intermediate amine (IV) was prepared by alkylation of N-(2-isopropoxyphenyl)piperazine (I) with N-(2-bromoethyl)phthalimide (II), followed by removal of the phthaloyl group upon treatment with methylhydrazine.

合成路线图解说明:

Alkylation of delta-valerolactam (V) with tert-butyl bromoacetate in the presence of NaH provided (VI). Subsequent tert-butyl ester cleavage by means of trifluoroacetic acid furnished 2-(2-oxopiperidin-1-yl)acetic acid (VII), which was finally coupled with amine (IV) to afford the title amide.

Drug Information Express,Drug R&D,Chemical Database,Patent Search.
Copyright © 2006-2026 Drug Future. All rights reserved.Contact Us