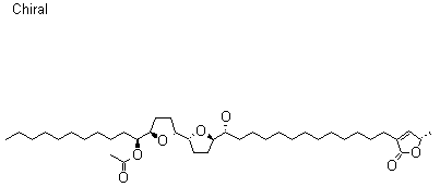
【药物名称】Uvaricin-(+), (+)-Uvaricin
化学结构式(Chemical Structure):
参考文献No.472640
标题:Total synthesis of uvaricin
作者:Yazbak, A.; Sinha, S.C.; Keinan, E.
来源:J Org Chem 1998,63(17),5863
合成路线图解说明:

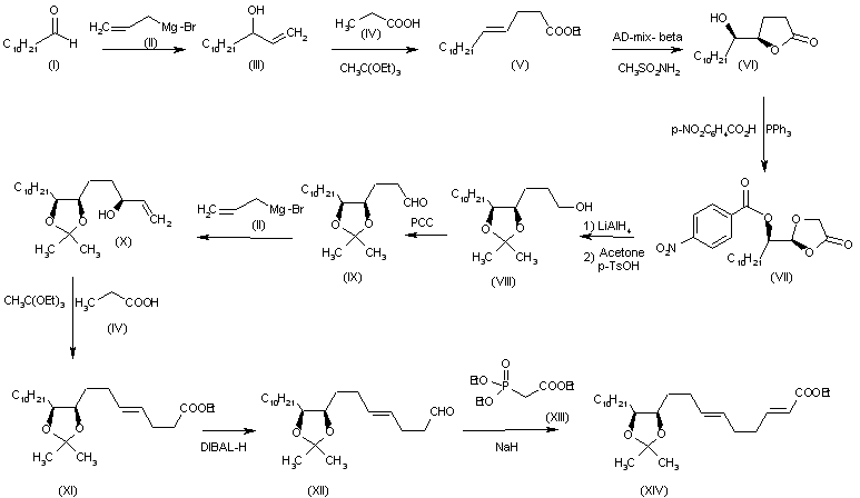
1) The reaction of undecanal (I) with vinylmagnesium bromide (II) in THF gives 1-tridecen-3-ol (III), which is condensed with propionic acid (IV) by means of triethyl orthoacetate in refluxing xylene yielding 4(E)-pentadecenoic acid ethyl ester (V). The reaction of (V) with AD-mix-beta and methanesulfonamide in tert-butanol affords (R,R)-5-(1-hydroxyundecyl)tetrahydrofuran-2-one (VI), which by reaction with p-nitrobenzoic acid and triphenylphosphine in benzene gives the corresponding ester (VII). The reaction of (VII) first with LiAlH4 in ether, followed by a treatment with acetone and p-toluenesulfonic acid yields the acetonide (VIII), which by oxidation of its primary alcohol with pyridinium chlorochromate (PCC) in dichloromethane affords the corresponding aldehyde (IX). The reaction of (IX) with vinylmagnesium bromide (II) in ether gives the allyl alcohol (X), which by condensation with proionic acid (IV) and triethyl orthoacetate yields (4E,8R,9S)-8,9-(isopropylidenedioxy)-4-nonadecenoic acid ethyl ester (XI), The reduction of (XI) with diisobutylaluminum hydride (DIBAL) in toluene affords the corresponding aldehyde (XII), which is condensed with triethyl phosphonoacetate (XIII) by means of NaH in toluene giving (2E,6E,10R,11S)-10,11-(isopropylidenedioxy)-heneicosa-2,6-dienoic acid ethyl ester (XIV).

合成路线图解说明:

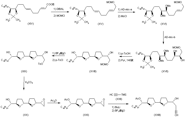
2) The reduction of (XIV) with DIBAL followed by protection with methoxymethyl chloride (MOM-Cl) yields the methoxymethyl ether (XV), which by regioselective dihydroxylation with AD-mix-beta, followed by mesylation with mesyl chloride affords the dimesylate (XVI). A new regioselective dihydroxylation of (XVI) with AD-mix-beta gives the diol (XVII), which is cyclized by treatment first with p-toluenesulfonic acid and then by heating at 140 C in pyridine yielding the bis(tetrahydrofuran) derivative (XVIII). The deprotection of (XVIII) with boron trilfuoride.ethearate, followed by tosylation with tosyl chloride in pyridine affords the tosylate (XIX), which is cyclized to the epoxide (XX) by reaction with K2CO3 in methanol. The acetylation of the secondary alcohol of (XIX) with acetic anhydride in pyridine affords the acetate (XXI), which is condensed with trimethylsilylacetylene (XXII) by means of n-BuLi in THF giving the acetylenic alcohol (XXIII).

合成路线图解说明:

4) The intermediate iodinated tetrahydrofuranone (XXIV) has been obtained as follows: The silylation of 8-nonyn-1-ol (XXVII) with tert-butyldimethylsilyl chloride (TBDMS-Cl) and imidazole in DMF gives the silyl ether (XXVIII), which is iodinated by means of tributyltin hydride, azobis(cyclohexanecarbonitrile) (ABCN) and iodine yielding the iodovinyl compound (XXIX). The deprotection of (XXIX) with tetrabutylammonium fluoride in THF, followed by tosylation with tosyl chloride in pyridine affords the tosylate (XXX), which by reaction with NaI in acetone affords 1,9-diiodo-1-nonene (XXXI). Finally, this compound is condensed with (5S)-methyl-3-(phenylsulfanyl)tetrahydrofuran-2-one (XXXII) by means of potassium bis(trimthylsilyl)amide in THF to afford the desired intermediate (XXIV).

合成路线图解说明:

3) The addition of the iodinated tetrahydofuranone (XXIV) to the triple bond of (XXIII) catalyzed by CuI and palladium tetrakis(triphenylphosphine) in triethylamine yields intermediate (XXV) with a double and a triple bonds that are hydrogenated with H2 over a rhodium triphenylphosphine complex in benzene/methanol affording the saturated tridecanol (XXVI). Finally, the double bond of the dihydrofuranone ring of uvaricin is formed by oxidation of the phenylsulfanyl group to the corresponding sulfonyl derivative with m-chloroperbenzoic acid in dichloromethane followed by elimination of benzenesulfonic acid by refluxing in toluene.

Drug Information Express,Drug R&D,Chemical Database,Patent Search.
Copyright © 2006-2026 Drug Future. All rights reserved.Contact Us