【药物名称】RTI-422
化学结构式(Chemical Structure):
参考文献No.483539
标题:Synthesis and transporter binding properties of (R)-2beta,3beta- and (R)-2alpha,3alpha-diaryltropanes
作者:Jiang, S.; Chang, A.-C.; Abraham, P.; Kuhar, M.J.; Carroll, F.I.
来源:Bioorg Med Chem Lett 1998,8(24),3689
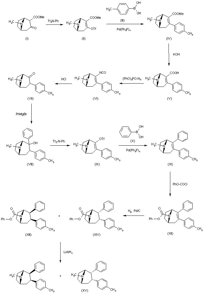
合成路线图解说明:

The reaction of tropanone (I) with N,N-bis(trifluoromethylsulfonyl)aniline and sodium hexamethyldisilylazide in THF gives the enol triflate (II), which is condensed with 4-methylphenylboronic acid (III) by means of palladium tetrakis(triphenylphosphine) yielding the p-tolyltropane (IV). The hydrolysis of the methyl ester of (IV) with KOH affords the carboxylic acid (V), which is treated with diphenoxyphosphoryl azide in hot toluene to give the isocyanate (VI). The hydrolysis of (VI) in refluxing ethanol yields the tropanone (VII), which by reaction with phenylmagnesium bromide in ethyl ether affords the diphenyltropanol (VIII). The dehydration of (VIII) with refluxing conc. HBr gives the diphenyltropene (XI), which by reaction with phenyl chloroformate in dichloromethane yields the N-carboxylate (XII). The reduction of (XII) with H2 over Pd/C in methanol affords a mixture of the (exo, exo) (XIII) and (endo, endo) (XIV) compounds, which is reduced with LiAlH4 in ethyl ether providing a mixture of the target compound and its (endo, endo) isomer (XV) that is separated by chromatography.

合成路线图解说明:

The reaction of tropanone (I) with N,N-bis(trifluoromethylsulfonyl)aniline and sodium hexamethyldisilylazide in THF gives the enol triflate (II), which is condensed with 4-methylphenylboronic acid (III) by means of palladium tetrakis(triphenylphosphine) yielding the p-tolyltropane (IV). The hydrolysis of the methyl ester of (IV) with KOH affords the carboxylic acid (V), which is treated with diphenoxyphosphoryl azide in hot toluene to give the isocyanate (VI). The hydrolysis of (VI) in refluxing ethanol yields the tropanone (VII). By reaction of the tropanone (VII) with N,N-bis(trifluoromethylsulfonyl)aniline to give the corresponding enol triflate (IX), which is then condensed with phenylboronic acid (X) by means of Pd(Ph3)4 to give (XI), which by reaction with phenyl chloroformate in dichloromethane yields the N-carboxylate (XII). The reduction of (XII) with H2 over Pd/C in methanol affords a mixture of the (exo, exo) (XIII) and (endo, endo) (XIV) compounds, which is reduced with LiAlH4 in ethyl ether providing a mixture of the target compound and its (endo, endo) isomer (XV) that is separated by chromatography.

Drug Information Express,Drug R&D,Chemical Database,Patent Search.
Copyright © 2006-2026 Drug Future. All rights reserved.Contact Us