【药物名称】
化学结构式(Chemical Structure):
参考文献No.483528
标题:The discovery of orally available thrombin inhibitors: Studies towards the optimisation of CGH1668
作者:Ambler, J.; Baker, E.; Brown, L.; Butler, P.; Farr, D.; Dunnet, K.; Le Grand, D.; Janus, D.; Jones, D.; Menear, K.; Mercer, M.; Smith, G.; Talbot, M.; Tweed, M.
来源:Bioorg Med Chem Lett 1998,8(24),3583
合成路线图解说明:

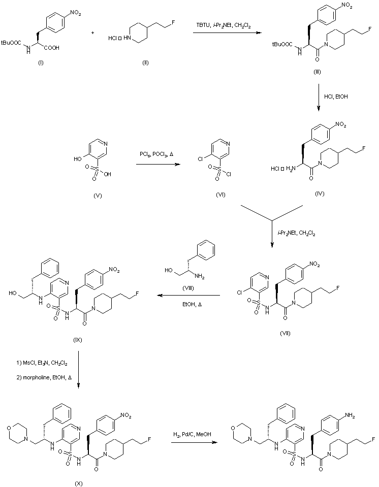
Coupling of N-Boc-p-nitrophenylalanine (I) with 4-(2-fluoroethyl)piperidine (II) by means of 2-benzotriazolyl-1,1,3,3-tetramethyluronium tetrafluoborate (TBTU) gave amide (III) which, after acidic deprotection provided aminoamide (IV). 4-Chloropyridine-3-sulfonyl chloride (VI), generated from 4-hydroxy pyridine-3-sulfonic acid (V) by chlorination with PCl5/POCl3, was coupled with amine (IV) to afford sulfonamide (VII). Further condensation of (VII) with L-phenylalaninol (VIII) produced aminopyridine (IX). Conversion of the alcohol group of (IX) to the corresponding mesylate, followed by displacement with morpholine furnished the N-substituted morpholine (X). The nitro group of (X) was finally reduced to the target aniline by hydrogenation over Pd/C.

Drug Information Express,Drug R&D,Chemical Database,Patent Search.
Copyright © 2006-2026 Drug Future. All rights reserved.Contact Us