【药物名称】QF-2003B
化学结构式(Chemical Structure):
参考文献No.483526
标题:Butyrophenone analogues in the carbazole series: Synthesis and determination of affinities at D2 and 5-HT2A receptors
作者:Masaguer, C.F.; Formoso, E.; Ravi馻, E.; Trist醤, H.; Loza, M.I.; Rivas, E.; Fontenla, J.A.
来源:Bioorg Med Chem Lett 1998,8(24),3571
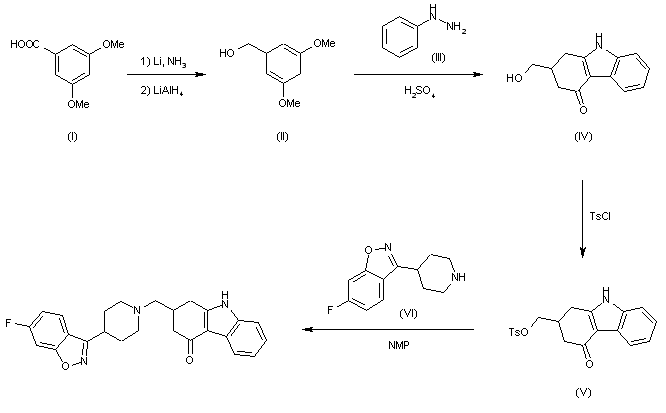
合成路线图解说明:

The reduction of 3,5-dimethoxybenzoic acid (I) first with Li in liquid NH3 and methanol, and then with LiAlH4 in THF gives 3,5-dimethoxy-1,4-dihydrobenzyl alcohol (II), which is cyclized with phenylhydrazine (III) in refluxing 4% sulfuric acid yielding 2-(hydroxymethyl)-1,2,3,4-tetrahydrocarbazol-4-one (IV). The reaction of (IV) with tosyl chloride in pyridine affords the corresponding tosylate (V), which is finally condensed with 4-(4-fluorobenzoyl)piperidine (VI) in N-methyl-2-pyrrolidone.

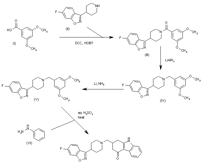
合成路线图解说明:

The reduction of 3,5-dimethoxybenzoic acid (I) first with Li in liquid NH3 and methanol, and then with LiAlH4 in THF gives 3,5-dimethoxy-1,4-dihydrobenzyl alcohol (II), which is cyclized with phenylhydrazine (III) in refluxing 4% sulfuric acid yielding 2-(hydroxymethyl)-1,2,3,4-tetrahydrocarbazol-4-one (IV). The reaction of (IV) with tosyl chloride in pyridine affords the corresponding tosylate (V), which is finally condensed with 4-(6-fluoro-1,2-benzisoxazol-3-yl)piperidine (VI) in N-methyl-2-pyrrolidone.

参考文献No.568916
标题:Butyrophenone analogues in the carbazole series as potential atypical antipsychotics: Synthesis and determination of affinities at D2, 5-HT2A, 5-HT2B and 5-HT2C receptors
作者:Masaguer, C.F.; Ravi馻, E.; Fontenla, J.A.; Brea, J.; Tristan, H.; Loza, M.I.
来源:Eur J Med Chem 2000,35(1),83
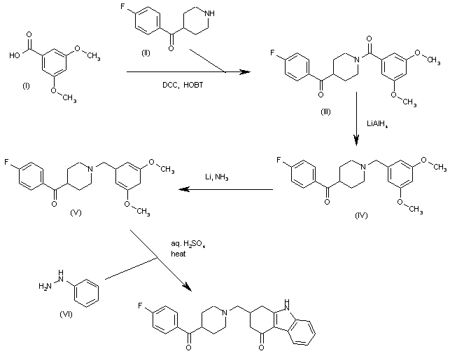
合成路线图解说明:

The condensation of 3,5-dimethoxybenzoic acid (I) with 4-(4-fluorobenzoyl)piperidine (II) by means of DCC and HOBT in DMF gives the piperidide (III), which is reduced with LiAlH4 in THF to yield 1-(3,5-dimethoxybenzyl)-4-(4-fluorobenzoyl)piperidine (IV). The reduction of (IV) with Li in liquid ammonia affords the 1,4-dihydro derivative (V), which is finally cyclized with phenylhydrazine (VI) in refluxing aqueous sulfuric acid to provide the target tetrahydrocarbazolone.

合成路线图解说明:

The condensation of 3,5-dimethoxybenzoic acid (I) with 4-(6-fluoro-1,2-benzisoxazol-3-yl)piperidine (II) by means of DCC and HOBT in DMF gives the piperidide (III), which is reduced with LiAlH4 in THF to yield 1-(3,5-dimethoxybenzyl)-4-(6-fluoro-1,2-benzisoxazol-3-yl)piperidine (IV). The reduction of (IV) with Li in liquid ammonia affords the 1,4-dihydro derivative (V), which is finally cyclized with phenylhydrazine (VI) in refluxing aqueous sulfuric acid to provide the target tetrahydrocarbazolone.

Drug Information Express,Drug R&D,Chemical Database,Patent Search.
Copyright © 2006-2026 Drug Future. All rights reserved.Contact Us