【药物名称】
化学结构式(Chemical Structure):
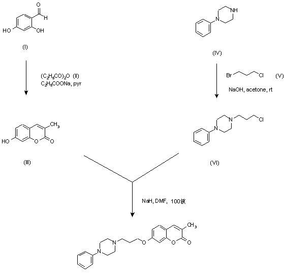
参考文献No.483525
标题:Phenylpiperazine derivatives with strong affinity for 5HT1A, D2A and D3 receptors
作者:Ter醤, C.; Santana, L.; Uriarte, E.; Fall, Y.; Unelius, L.; Tolf, B.R.
来源:Bioorg Med Chem Lett 1998,8(24),3567
合成路线图解说明:

7-Hydroxy-3-methylcoumarin (III) was obtained by Perkin reaction of 2,4-dihydroxybenzaldehyde (I) and propionic anhydride (II) in the presence of sodium propionate in pyridine. Alkylation of N-phenylpiperazine (IV) with 1-bromo-3-chloropropane (V) and NaOH in acetone provided the chloropropyl compond (VI), which was finally condensed with coumarin (III) using NaH in DMF.

参考文献No.528583
标题:Synthesis and characterization of new methylpsoralens as potential photochemotherapeutic agents
作者:Antonello, C.; Zagotto, G.; Mobilio, S.; Marzano, C.; Gia, O.; Uriarte, E.
来源:Farmaco 1994,49(4),277
合成路线图解说明:

7-Hydroxy-3-methylcoumarin (III) was obtained by Perkin reaction of 2,4-dihydroxybenzaldehyde (I) and propionic anhydride (II) in the presence of sodium propionate in pyridine. Alkylation of N-phenylpiperazine (IV) with 1-bromo-3-chloropropane (V) and NaOH in acetone provided the chloropropyl compond (VI), which was finally condensed with coumarin (III) using NaH in DMF.

Drug Information Express,Drug R&D,Chemical Database,Patent Search.
Copyright © 2006-2026 Drug Future. All rights reserved.Contact Us