【药物名称】
化学结构式(Chemical Structure):
参考文献No.483522
标题:Unsymmetric nonpeptidic HIV protease inhibitors containing anthranilamide as a P2' ligand
作者:Randad, R.S.; Lubkowska, L.; Eissenstat, M.A.; Gulnik, S.V.; Yu, B.; Bhat, T.N.; Clanton, D.J.; House, T.; Stinson, S.F.; Erickson, J.W.
来源:Bioorg Med Chem Lett 1998,8(24),3537
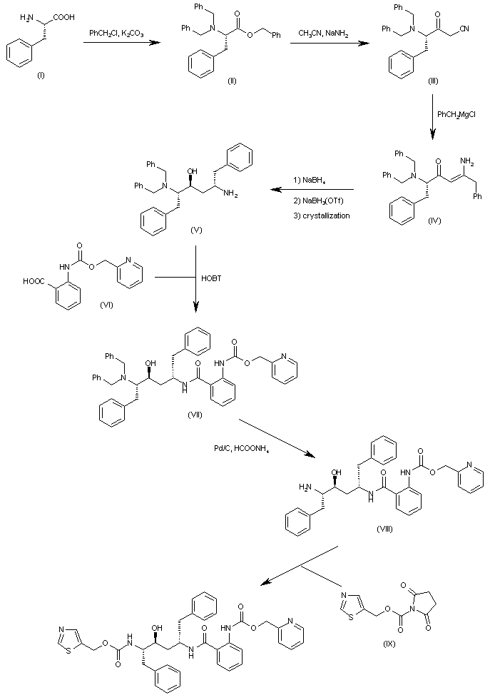
合成路线图解说明:

The reaction of L-phenylalanine (I) with benzyl chloride and K2CO3 gives the tribenzylated compound (II), which is condensed with acetonitrile by means of NaNH2 yielding 4(S)-(dibenzylamino)-3-oxo-4-phenylbutyronitrile (III). The reaction of (III) with benzylmagnesium chloride in THF affords the unsaturated, partially protected diaminohexenone (IV), which is reduced with NaBH4 and NaBH3(OTf) to provide a mixture of diastereomeric diaminohexanones, from which the desired diastereomer (V) is isolated by crystallization. The acylation of the free amino group of (V) with acylated anthranilic acid (VI) by means of HOBT gives the expected amide (VII), which is debenzylated by treatment with Pd/C and ammonium formate yielding intermediate (VIII). Finally this compound is acylated with the activated N-succinylcarbamate (IX) to afford the desired target compound.

参考文献No.600208
标题:An efficient stereocontrolled strategy for the synthesis of hydroxyethylene dipeptide isosteres
作者:Stuk, T.L.; et al.
来源:J Org Chem 1994,59(15),4040
合成路线图解说明:

The reaction of L-phenylalanine (I) with benzyl chloride and K2CO3 gives the tribenzylated compound (II), which is condensed with acetonitrile by means of NaNH2 yielding 4(S)-(dibenzylamino)-3-oxo-4-phenylbutyronitrile (III). The reaction of (III) with benzylmagnesium chloride in THF affords the unsaturated, partially protected diaminohexenone (IV), which is reduced with NaBH4 and NaBH3(OTf) to provide a mixture of diastereomeric diaminohexanones, from which the desired diastereomer (V) is isolated by crystallization. The acylation of the free amino group of (V) with acylated anthranilic acid (VI) by means of HOBT gives the expected amide (VII), which is debenzylated by treatment with Pd/C and ammonium formate yielding intermediate (VIII). Finally this compound is acylated with the activated N-succinylcarbamate (IX) to afford the desired target compound.

Drug Information Express,Drug R&D,Chemical Database,Patent Search.
Copyright © 2006-2026 Drug Future. All rights reserved.Contact Us