【药物名称】
化学结构式(Chemical Structure):
参考文献No.483518
标题:Methionine analogues as inhibitors of methionyl-tRNA synthetase
作者:Lee, J.; Kang, M.K.; Chun, M.W.; Jo, Y.J.; Kwak, J.H.; Kim, S.
来源:Bioorg Med Chem Lett 1998,8(24),3511
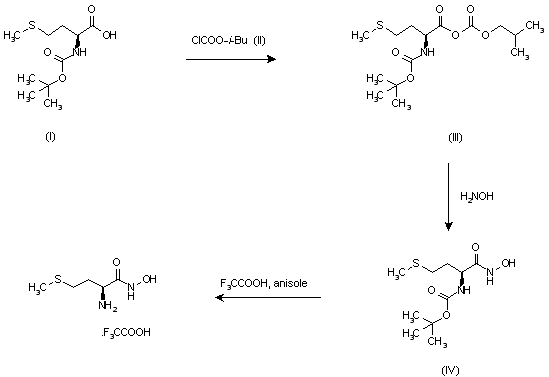
合成路线图解说明:

N-(tert-Butoxycarbonyl)-L-methionine (I) was converted to mixed anhydride (III) upon treatment with isobutyl chloroformate (II). Subsequent condensation of (III) with hydroxylamine gave hydroxamic acid (IV). Finally, the Boc group was cleared with trifluoroacetic acid in anisole to furnish the target methionine hydroxamate).

Drug Information Express,Drug R&D,Chemical Database,Patent Search.
Copyright © 2006-2026 Drug Future. All rights reserved.Contact Us