【药物名称】XU-065
化学结构式(Chemical Structure):
参考文献No.27415
标题:Cpds. containing basic and acidic termini useful as fibrinogen receptor antagonists
作者:Degrado, W.F.; Xue, C.-B. (DuPont Pharmaceuticals Co.)
来源:US 5563158; WO 9518111
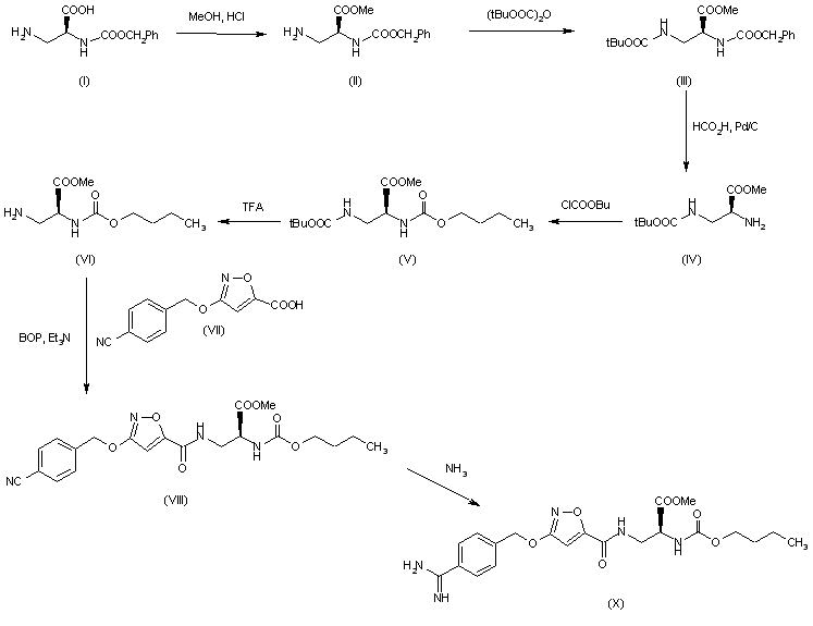
合成路线图解说明:

The esterification of (S)-3-amino-2-(benzyloxycarbonylamino)propionic acid (I) with methanol/HCl gives the expected methyl ester (II), which is protected with di-tert-butyl dicarbonate and triethylamine in chloroform to the fully protected compound (III). The debenzylation of (III) by treatment with formic acid over Pd/C in methanol yields the 2-amino compound (IV), which is acylated with butyl chloroformate and NaHCO3 in THF affording 2(S)-(n-butoxycarbonylamino)-3-(tert-butoxycarbonylamino)propionic acid methyl ester (V).The selctive deacylation of (V) with trifluoroacetic acid in dichloromethane affords the 3-amino-2(S)-(n-butoxycarbonylamino)propionic ester (VI), which is acylated with 3-(4-cyanobenzyloxy)isoxazole-5-carboxylic acid (VII) by means of BOP or TBTU and triethylamine or DIEA in DMF giving the cyanobenzyl derivative (VIII). Finally, this compound treated first with HCl in methanol, and then with NH3 in the same solvent to provide the target compound.

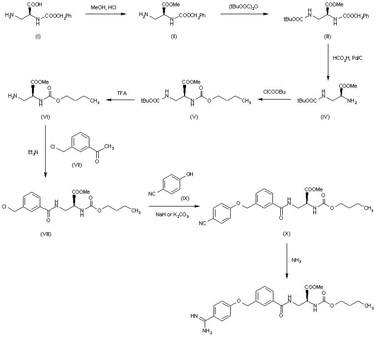
合成路线图解说明:

The esterification of (S)-3-amino-2-(benzyloxycarbonylamino)propionic acid (I) with methanol/HCl gives the expected methyl ester (II), which is protected with di-tert-butyl dicarbonate and triethylamine in chloroform to the fully protected compound (III). The debenzylation of (III) by treatment with formic acid over Pd/C in methanol yields the 2-amino compound (IV), which is acylated with butyl chloroformate and NaHCO3 in THF affording 2(S)-(n-butoxycarbonylamino)-3-(tert-butoxycarbonylamino)propionic acid methyl ester (V).The selctive deacylation of (V) with trifluoroacetic acid in dichloromethane affords the 3-amino-2(S)-(n-butoxycarbonylamino)propionic ester (VI), which is acylated with 3-(chloromethyl)benzoyl chloride (VII) and triethylamine in dichloromethane giving the benzamido ester (VIII). The condensation of (VIII) with 4-hydroxybenzonitrile (IX) by means of NaH or K2CO3 yields the precursor (X), which is finally treated first with HCl in methanol, and then with NH3 in the same solvent to providde the target compound.

参考文献No.483517
标题:Synthesis and antiplatelet effects of an isoxazole series of glycoprotein IIb/IIIa antagonists
作者:Xue, C.-B.; Roderick, J.; Mousa, S.; Olson, R.E.; DeGrado, W.F.
来源:Bioorg Med Chem Lett 1998,8(24),3499
合成路线图解说明:

The esterification of (S)-3-amino-2-(benzyloxycarbonylamino)propionic acid (I) with methanol/HCl gives the expected methyl ester (II), which is protected with di-tert-butyl dicarbonate and triethylamine in chloroform to the fully protected compound (III). The debenzylation of (III) by treatment with formic acid over Pd/C in methanol yields the 2-amino compound (IV), which is acylated with butyl chloroformate and NaHCO3 in THF affording 2(S)-(n-butoxycarbonylamino)-3-(tert-butoxycarbonylamino)propionic acid methyl ester (V).The selctive deacylation of (V) with trifluoroacetic acid in dichloromethane affords the 3-amino-2(S)-(n-butoxycarbonylamino)propionic ester (VI), which is acylated with 3-(4-cyanobenzyloxy)isoxazole-5-carboxylic acid (VII) by means of BOP or TBTU and triethylamine or DIEA in DMF giving the cyanobenzyl derivative (VIII). Finally, this compound treated first with HCl in methanol, and then with NH3 in the same solvent to provide the target compound.

合成路线图解说明:

The intermediate 3-(4-cyanobenzyloxy)isoxazole-5-carboxylic acid (VII) has been obtained by condensation of 4-(bromomethyl)benzonitrile (IX) with 3-hydroxyisoxazole-5-carboxylic acid methyl ester (X) by means of K2CO3 in hot DMF to yield the benzyloxy derivative (XI), which is finally hydrolyzed with LiOH in THF to provide the target intermediate (VII).

Drug Information Express,Drug R&D,Chemical Database,Patent Search.
Copyright © 2006-2026 Drug Future. All rights reserved.Contact Us