【药物名称】
化学结构式(Chemical Structure):
参考文献No.29316
标题:4,5-Substd. imidazolyl cpds. for the treatment of inflammation
作者:Weier, R.M.; Collins, P.W.; Stealey, M.A.; Barta, T.E.; Huff, R.M. (Pharmacia Corp.)
来源:EP 0772601; US 5620999; WO 9603387
合成路线图解说明:

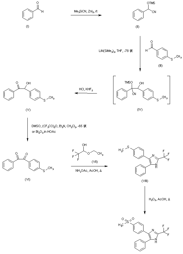
Reaction of benzaldehyde (I) with trimethylsilyl cyanide and ZnI2 gave O-trimethylsilyl cyanohydrin (II). Subsequent condensation of (II) with 4-(methylthio)benzaldehyde (III) in the presence of lithium hexamethyldisilazide, followed by quenching of the intermediate (IV) with KHF2 and HCl, provided benzoin (V). This was oxidized either under Swern conditions, or with Bi2O3 in acetic to afford the corresponding benzil (VI). Condensation of (VI) with trifluoroacetaldehyde ethyl hemiacetal (VII) produced imidazole (VIII). Finally, oxidation of the sulfide group of (VIII) with hydrogen peroxide in AcOH provided the target sulfone.

参考文献No.483514
标题:Antiinflammatory 4,5-diarylimidazoles as selective cyclooxygenase inhibitors
作者:Barta, T.E.; Stealey, M.A.; Collins, P.W.; Weier, R.M.
来源:Bioorg Med Chem Lett 1998,8(24),3443
合成路线图解说明:

Reaction of benzaldehyde (I) with trimethylsilyl cyanide and ZnI2 gave O-trimethylsilyl cyanohydrin (II). Subsequent condensation of (II) with 4-(methylthio)benzaldehyde (III) in the presence of lithium hexamethyldisilazide, followed by quenching of the intermediate (IV) with KHF2 and HCl, provided benzoin (V). This was oxidized either under Swern conditions, or with Bi2O3 in acetic to afford the corresponding benzil (VI). Condensation of (VI) with trifluoroacetaldehyde ethyl hemiacetal (VII) produced imidazole (VIII). Finally, oxidation of the sulfide group of (VIII) with hydrogen peroxide in AcOH provided the target sulfone.

合成路线图解说明:

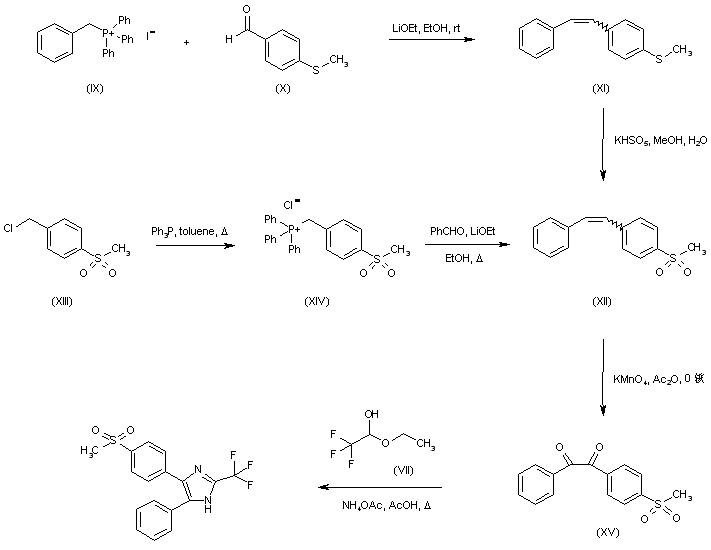
An related procedure was based on the formation of the intermediate stilbene sulfone (XII) by Wittig reaction. Thus, condensation of phosphonium salt (IX) with aldehyde (X) in the presence of LiOEt gave stilbene (XI) as a mixture of geometric isomers. Then, oxidation of the sulfide group of (XI) with Oxone provided stilbene sulfone (XII). Alternatively, phosphonium salt (XIV), prepared from benzyl chloride (XIII) and triphenyl phosphine, was condensed with benzaldehyde to yield (XII). The oxidation of stilbene (XII) with KMnO4 produced benzil (XV). Finally, cyclization of (XV) with hemiacetal (VII) furnished the title imidazole.

Drug Information Express,Drug R&D,Chemical Database,Patent Search.
Copyright © 2006-2026 Drug Future. All rights reserved.Contact Us