【药物名称】
化学结构式(Chemical Structure):
参考文献No.579438
标题:Synthesis of acetylenic spirobutenolide derivatives and evaluation of their growth inhibitory effect on cells in culture
作者:Bador, P.; et al.
来源:Arzneim-Forsch Drug Res 1990,40(II)(10),1135-1139
合成路线图解说明:

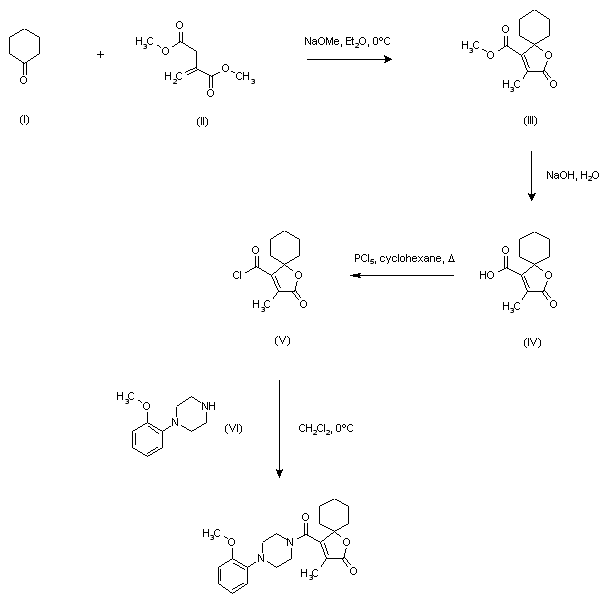
The condensation between cyclohexanone (I) and dimethyl itaconate (II) in the presence of NaOMe in cold Et2O afforded the spirobutenolide (III) together with some hydrolyzed product (IV). A further hydrolytic treatment with aqueous NaOH provided acid (IV), which was then converted to acid chloride (V) by treatment with PCl5 in refluxing cyclohexane. Reaction of this acid chloride with N-(2-methoxyphenyl)piperazine in CH2Cl2 at 0 C produced the title amide.

合成路线图解说明:

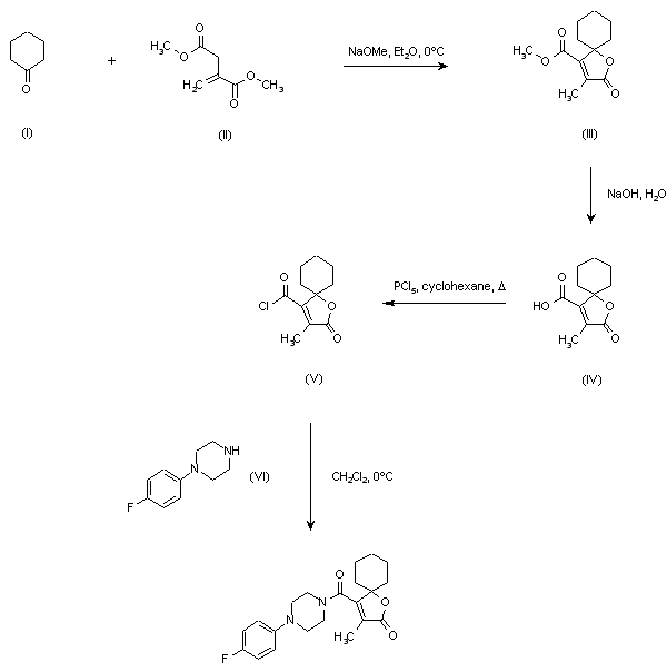
The condensation between cyclohexanone (I) and dimethyl itaconate (II) in the presence of NaOMe in cold Et2O afforded the spirobutenolide (III) together with some hydrolyzed product (IV). A further hydrolytic treatment with aqueous NaOH provided acid (IV), which was then converted to acid chloride (V) by treatment with PCl5 in refluxing cyclohexane. Reaction of this acid chloride with N-(4-fluorophenyl)piperazine in CH2Cl2 at 0 C produced the title amide.

Drug Information Express,Drug R&D,Chemical Database,Patent Search.
Copyright © 2006-2026 Drug Future. All rights reserved.Contact Us