【药物名称】SRI-8202
化学结构式(Chemical Structure):
参考文献No.
482853
标题:
Lipophilic antifolates as agents against opportunistic infections. 1. Agents superior to trimetrexate and piritrexim against Toxoplasma gondii and Pneumocystis carinii in in vitro evaluations
作者:
Piper, J.R.; Johnson, C.A.; Krauth, C.A.; Carter, R.L.; Hosmer, C.A.; Queener, S.F.; Borotz, S.E.; Pfefferkorn, E.R.
来源:
J Med Chem 1996,39(6),1271
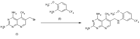
合成路线图解说明:
By condensation of bromomethyl derivative (I) with aniline (II).
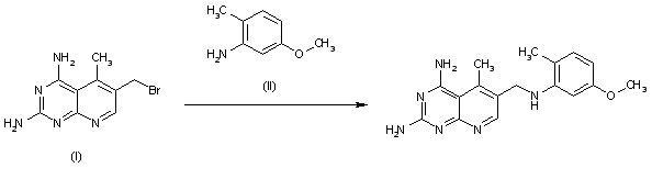
合成路线图解说明:
By condensation of bromomethyl derivative (I) with aniline (II).
Drug Information Express,Drug R&D,Chemical Database,Patent Search.
Copyright © 2006-2026
Drug Future
. All rights reserved.
Contact Us