【药物名称】AT-61
化学结构式(Chemical Structure):
参考文献No.37131
标题:2-Benzoylamino-3-phenylpropenamide derivs. and methods of using the same
作者:Conway, S.C.; Perni, R.B. (Avid Corp.)
来源:WO 9833501
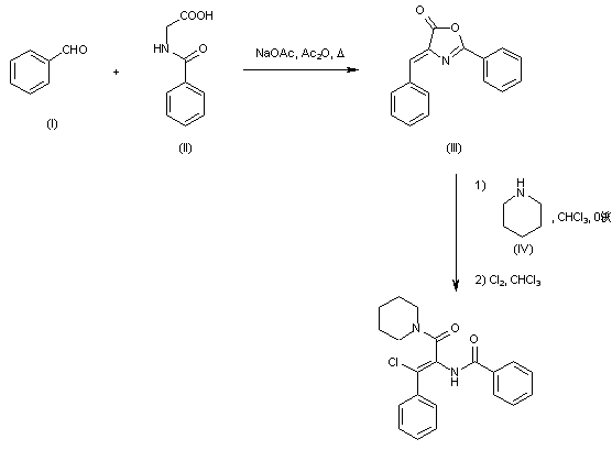
合成路线图解说明:

Condensation of benzaldehyde (I) with hippuric acid (II) in the presence of NaOAc in boiling Ac2O furnished oxazolone (III). The title compound was then obtained by ring opening of (III) with piperidine (IV) in chloroform at 0 C, followed by chlorination with Cl2 gas.

Drug Information Express,Drug R&D,Chemical Database,Patent Search.
Copyright © 2006-2026 Drug Future. All rights reserved.Contact Us