【药物名称】
化学结构式(Chemical Structure):
参考文献No.482628
标题:Studies on novel 3-isoxazolylvinylcephalosporins: I. Synthesis and biological activity of 7-[2-(2-aminothiazol-4-yl)-2-(alkoxy)iminoacetamido] derivatives
作者:Choi, K.I.; Cha, J.H.; Pae, A.N.; Cho, Y.S.; Chang, M.H.; Koh, H.Y.
来源:J Antibiot 1998,51(12),1117
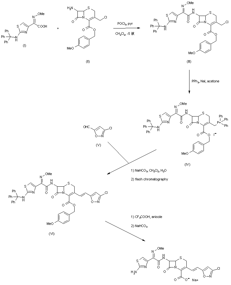
合成路线图解说明:

Trityl protected 2-(2-aminothiazol-4-yl)-2-(methoxy)iminoacetic acid (I) was coupled to 7-amino-3-(chloromethyl)cephalosporanic acid p-methoxybenzyl ester (II) using POCl3 and pyridine to give amide (III). This was converted to phosphonium salt (IV) upon treatment with triphenylphosphine and NaI. Subsequent Wittig reaction of (IV) with 3-chloroisoxazole-5-carbaldehyde (V) produced the corresponding vinyl isoxazole as a mixture of geometrical isomers, from which the major trans isomer (VI) was separated by flash column chromatography. Finally, deprotection of both trityl and p-methoxybenzyl groups of (VI) by means of trifluoroacetic acid afforded the title compound, which was isolated as the sodium salt.

Drug Information Express,Drug R&D,Chemical Database,Patent Search.
Copyright © 2006-2026 Drug Future. All rights reserved.Contact Us