【药物名称】AZD-6126, ZD-6126, ANG-453
化学结构式(Chemical Structure):
参考文献No.45727
标题:Use of colchinol derivs. as vascular damaging agents
作者:Dougherty, G. (Angiogene Pharmaceuticals Ltd.)
来源:WO 9902166
合成路线图解说明:

The title phosphate ester was prepared from N-acetylcolchinol (I). Treatment of (I) with di-tert-butyl diethylphosphoramidite in the presence of tetrazole provided the phosphite ester (II), which was subsequently oxidized to phosphate (III) by means of MCPBA. The tert-butyl phosphate ester of (III) was finally cleaved using trifluoroacetic acid.

参考文献No.711516
标题:ZD6126: A novel vascular-targeting agent that causes selective destruction of tumor vasculature
作者:Davis, P.D.; Dougherty, G.J.; Blakey, D.C.; Galbraith, S.M.; Tozer, G.M.; Holder, A.L.; Naylor, M.A.; Nolan, J.; Stratford, M.R.; Chaplin, D.J.; Hill, S.A.
来源:Cancer Res 2002,62(24),7247
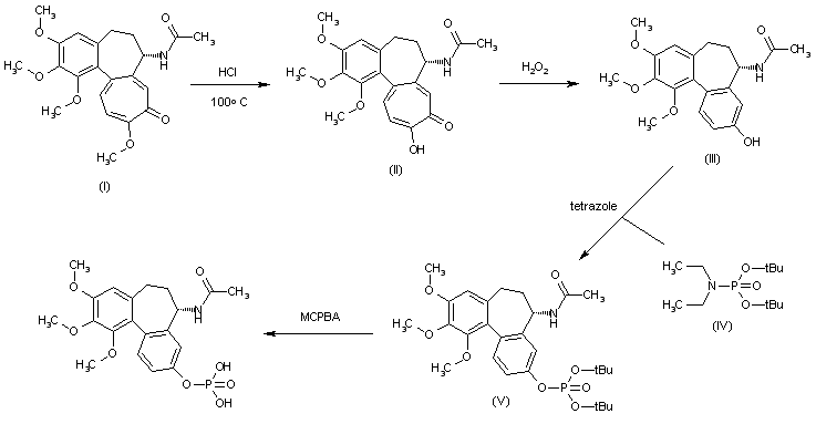
合成路线图解说明:

The reaction of colchicin (I) with aq. HCl at 100 C gives the monodemethylated compound (II), which is treated with H2O2 at 60 C to yield the dibenzocycloheptene derivative (III). The condensation of (III) with N,N-diethylphosphoramidic acid di-tert-butyl ester (IV) by means of tetrazole affords the phosphoric acid triester (V), which is finally treated with MCPBA to provide the target phosphoric acid monoester.

Drug Information Express,Drug R&D,Chemical Database,Patent Search.
Copyright © 2006-2026 Drug Future. All rights reserved.Contact Us