【药物名称】
化学结构式(Chemical Structure):
参考文献No.482642
标题:Synthesis and biological evaluation of (23R)- and (23S)-24,24-difluoro-1alpha,23,25-trihydroxyvitamin D3
作者:Iwasaki, H.; Miyamoto, Y.; Hosotani, R.; Nakano, Y.; Konno, K.; Takayama, H.
来源:Chem Pharm Bull 1998,46(12),1932
合成路线图解说明:

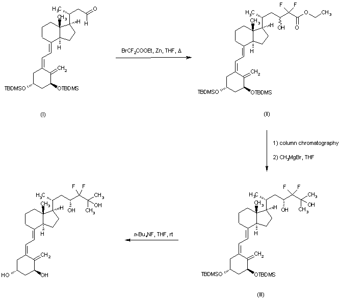
Aldehyde (I), derived from vitamin D2, was submitted to a Reformatsky reaction with ethyl bromodifluoroacetate and activated Zn to produce a mixture of diastereomeric b-hydroxyesters (II). After chromatographic separation, the required (23S)-isomer was condensed with MeMgBr to give tertiary alcohol (III). Finally, desilylation of (III) with tetra n-butylammonium fluoride in THF provided the title compound.

合成路线图解说明:

Aldehyde (I), derived from vitamin D2, was submitted to a Reformatsky reaction with ethyl bromodifluoroacetate and activated Zn to produce a mixture of diastereomeric b-hydroxyesters (II). After chromatographic separation, the required (23S)-isomer was condensed with MeMgBr to give tertiary alcohol (III). Finally, desilylation of (III) with tetra n-butylammonium fluoride in THF provided the title compound.

Drug Information Express,Drug R&D,Chemical Database,Patent Search.
Copyright © 2006-2026 Drug Future. All rights reserved.Contact Us