【药物名称】SB-272183
化学结构式(Chemical Structure):
参考文献No.37734
标题:Indole derivs. having combined 5HT1A, 5HT1B and 5HT1D receptor antagonist activity
作者:Gaster, L.M.; Rami, H.K.; Wyman, P.A. (SmithKline Beecham plc)
来源:EP 0975593; WO 9850358
合成路线图解说明:

Suzuki coupling of 4-bromonaphth-1-ylamine (I) with 4-pyridylboronic acid (II) furnished 4-(pyridyl)-1-naphthylamine (III), which was further converted into isocyanate (IV) by treatment with triphosgene.

合成路线图解说明:

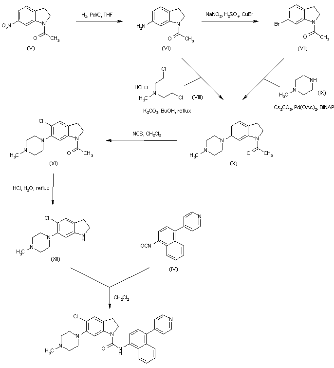
Catalytic hydrogenation of 1-acetyl-6-nitroindoline (V) afforded amine (VI). Condensation of (VI) with mechlorethamine hydrochloride (VIII) in the presence of K2CO3 in refluxing n-butanol produced piperazinylindoline (X). Alternatively, intermediate (X) was obtained by Sandmeyer reaction of amine (VI) in the presence of CuBr, followed by condensation of the resulting bromide (VII) with N-methylpiperazine (IX). Chlorination of (X) with N-chlorosuccinimide provided (XI). The acetamide function of (XI) was then hydrolyzed in refluxing 2M HCl to give amine (XII). Finally, coupling of (XII) with isocyanate (IV) gave rise to the corresponding urea.

参考文献No.591937
标题:Mixed 5-HT1A/1B/1D receptor antagonists as novel antidepressants
作者:Evans, M.; Gaster, L.M.; Gordon, l.; et al.
来源:16th Int Symp Med Chem (Sept 18 2000, Bologna) 2000,Abst PB-77
合成路线图解说明:

Suzuki coupling of 4-bromonaphth-1-ylamine (I) with 4-pyridylboronic acid (II) furnished 4-(pyridyl)-1-naphthylamine (III), which was further converted into isocyanate (IV) by treatment with triphosgene.

合成路线图解说明:

Catalytic hydrogenation of 1-acetyl-6-nitroindoline (V) afforded amine (VI). Condensation of (VI) with mechlorethamine hydrochloride (VIII) in the presence of K2CO3 in refluxing n-butanol produced piperazinylindoline (X). Alternatively, intermediate (X) was obtained by Sandmeyer reaction of amine (VI) in the presence of CuBr, followed by condensation of the resulting bromide (VII) with N-methylpiperazine (IX). Chlorination of (X) with N-chlorosuccinimide provided (XI). The acetamide function of (XI) was then hydrolyzed in refluxing 2M HCl to give amine (XII). Finally, coupling of (XII) with isocyanate (IV) gave rise to the corresponding urea.

Drug Information Express,Drug R&D,Chemical Database,Patent Search.
Copyright © 2006-2026 Drug Future. All rights reserved.Contact Us