【药物名称】SB-277011-A, SB-277011
化学结构式(Chemical Structure):
参考文献No.37737
标题:Tetrahydroisoquinoline derivs. as modulators of dopamine D3 receptors
作者:Branch, C.L.; Stemp, G.; Johnson, C.N. (SmithKline Beecham plc)
来源:EP 0983244; WO 9850364
合成路线图解说明:

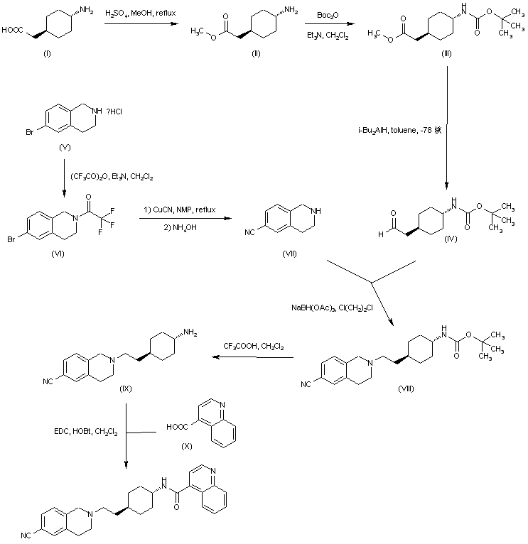
Esterification of trans-4-aminocyclohexylacetic acid (I), followed by protection of the resulting amino ester (II) with di-tert-butyl dicarbonate, afforded carbamate (III). Ester (III) reduction using DIBAL then gave aldehyde (IV) (1,2). 6-Cyano-1,2,3,4-tetrahydroisoquinoline (VII) was prepared by acylation of 6-bromotetrahydroisoquinoline (V) with trifluoroacetic anhydride to give amide (VI). Bromide displacement in (VI) with CuCN in NMP, followed by hydrolysis of the trifluoroacetamido group, furnished (VII) (1). Reductive condensation between amine (VII) and aldehyde (IV) in the presence of NaBH(OAc)3 gave adduct (VIII). The Boc protecting group of (VIII) was then removed by treatment with trifluoroacetic acid, yielding amine (IX). This was finally coupled with 4-quinolinecarboxylic acid (X) by means of EDC and HOBt.

合成路线图解说明:

Tetrahydroisoquinoline (II) was prepared by intramolecular cyclization of N-trifluoroacetyl 4-bromophenethylamine (I) with paraformaldehyde in acetic/ sulfuric acid. Displacement of the bromine atom of (II) with CuCN in boiling N-methyl-2-pyrrolidinone produced nitrile (III). The trifluoroacetyl group og (III) was then removed by means of K2CO3 in aqueous methanol, yielding the intermediate isoquinoline (IV).

合成路线图解说明:

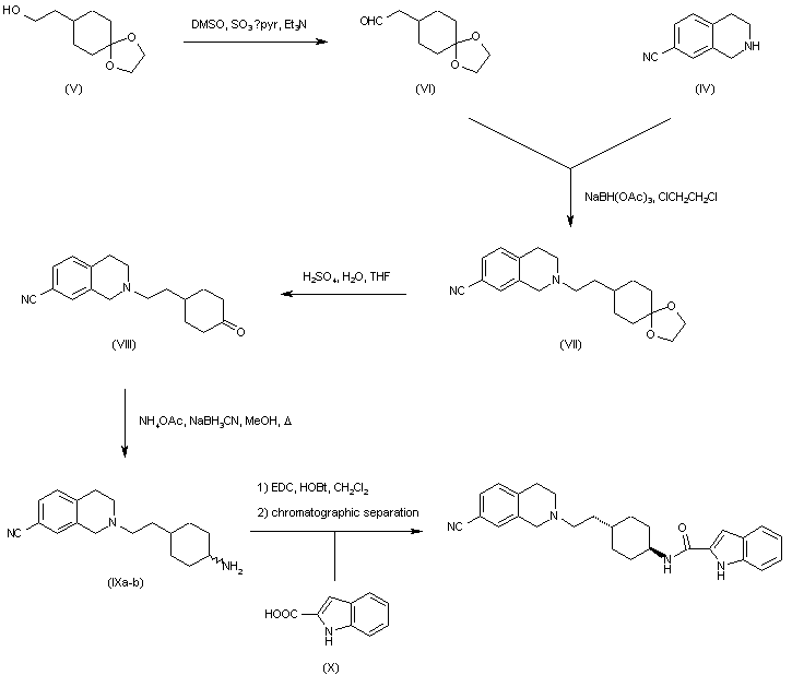
Swern oxidation of hydroxy ketal (V) led to aldehyde (VI), which was reductively condensed with tetrahydroquinoline (IV) in the presence of sodium triacetoxyborohydride to produce the N-alkylated quinoline (VII). Acid hydrolysis of the ethylene ketal of (VII) afforded the corresponding ketone (VIII). Subsequent reductive amination of (VIII) with ammonium acetate in the presence of sodium borohydride furnished the primary amine (IXa-b) as a mixture of cis and trans isomers. Coupling of (IXa-b) with indole-2-carboxylic acid (X) employing EDC and HOBt yielded the corresponding amide as a mixture of geometric isomers. The target trans isomer was finally isolated by chromatography on silica gel.

参考文献No.576806
标题:Design and synthesis of trans-N-[4-[2-(6-cyano-1,2,3,4-tetrahydroisoquinolin-2-yl)ethyl]cyclohexyl]-4-quinolinecarboxamide (SB-277011): A potent and selective dopamine D3 receptor antagonist with high oral bioavailability and CNS penetration in the rat
作者:Stemp, G.; Ashmeade, T.; Branch, C.L.; Hadley, M.S.; Hunter, A.J.; Johnson, C.N.; Nash, D.J.; Thewlis, K.M.; Vong, A.K.; Austin, N.E.; Jeffrey, P.; Avenell, K.Y.; Boyfield, I.; Hagan, J.J.; Middlemiss, D.N.; Reavill, C.; Riley, G.J.; Routledge, C.; et al.
来源:J Med Chem 2000,43(9),1878
合成路线图解说明:

Esterification of trans-4-aminocyclohexylacetic acid (I), followed by protection of the resulting amino ester (II) with di-tert-butyl dicarbonate, afforded carbamate (III). Ester (III) reduction using DIBAL then gave aldehyde (IV) (1,2). 6-Cyano-1,2,3,4-tetrahydroisoquinoline (VII) was prepared by acylation of 6-bromotetrahydroisoquinoline (V) with trifluoroacetic anhydride to give amide (VI). Bromide displacement in (VI) with CuCN in NMP, followed by hydrolysis of the trifluoroacetamido group, furnished (VII) (1). Reductive condensation between amine (VII) and aldehyde (IV) in the presence of NaBH(OAc)3 gave adduct (VIII). The Boc protecting group of (VIII) was then removed by treatment with trifluoroacetic acid, yielding amine (IX). This was finally coupled with 4-quinolinecarboxylic acid (X) by means of EDC and HOBt.

Drug Information Express,Drug R&D,Chemical Database,Patent Search.
Copyright © 2006-2026 Drug Future. All rights reserved.Contact Us