【药物名称】Tryprostatin B, TPS-B
化学结构式(Chemical Structure):
参考文献No.561376
标题:Total synthesis of gypsetin, deoxybrevianamide E, brevianamide E, and tryprostatin B: Novel constructions of 2,3-disubstituted indoles
作者:Schkeryantz, J.M.; et al.
来源:J Am Chem Soc 1999,121(51),11964
合成路线图解说明:

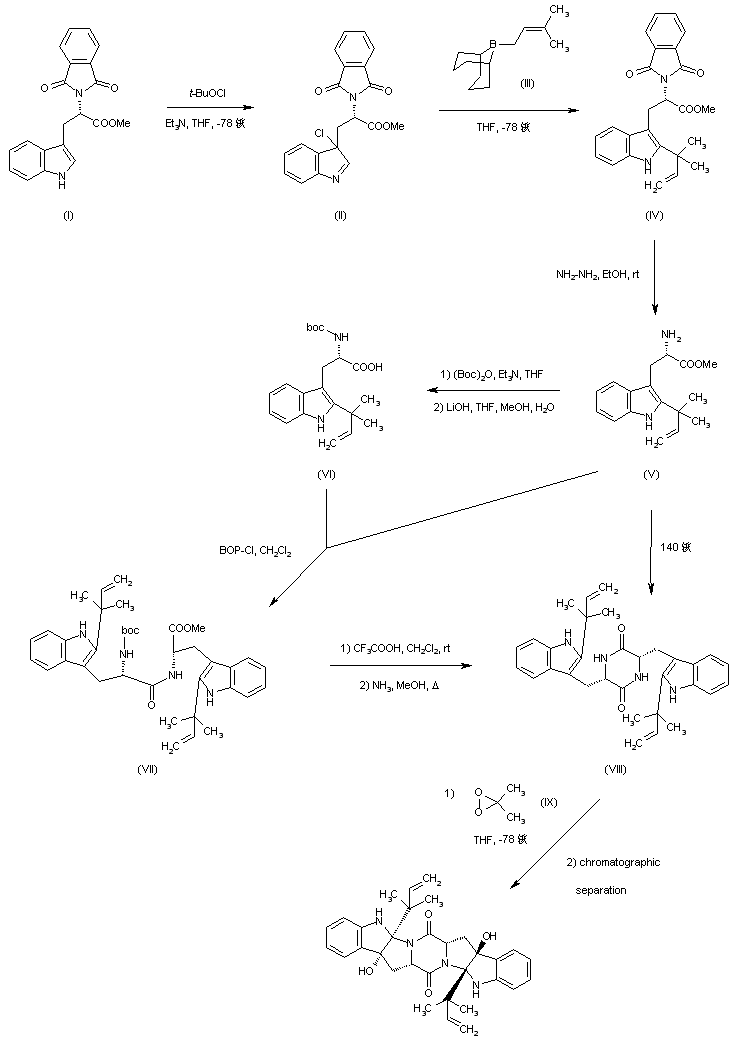
The compound was originally isolated from the fungal source N. gypsea var. incurvata. The synthesis of this compound was further described. Treatment of N-phthaloyltryptophan methyl ester (I) with tert-butyl hypochlorite and triethylamine at -78 C led to the formation of the intermediate 3-chloroindolenine (II), which was reacted with B-prenyl-9-BBN (III) to yield the 3-(1,1-dimethylpropenyl)indole (IV). Removal of the phthalimide protecting group of (IV) by hydrazinolysis provided aminoester (V). Protection of (V) as the tert-butyl carbamate, followed by ester hydrolysis with LiOH afforded the N-Boc-amino acid (VI). Coupling of protected amino acid (VI) with aminoester (V) by means of BOP-Cl gave dipeptide (VII). After removal of the Boc protecting group of (VII) with trifluoroacetic acid, ammonia-catalyzed cyclization provided diketopiperazine (VIII). Alternatively, diketopiperazine (VIII) was obtained by thermal cyclization of two molecules of aminoester (V) at 140 C. Oxidative cyclization by means of dimethyldioxirane (IX) produced a 1:1:2 mixture of syn:syn, anti:anti, and syn:anti diastereoisomeric heptacyclic compounds. Finally, the target syn:anti isomer was isolated by chromatography.

合成路线图解说明:

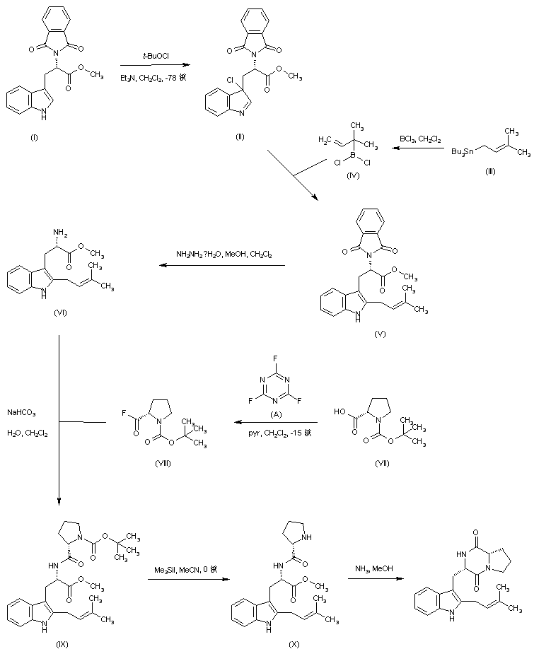
The compound was originally isolated from Aspergillus fumigatus. The synthesis of this compound was further described. Treatment of N-phthaloyltryptophan methyl ester (I) with tert-butyl hypochlorite and triethylamine at -78 C led to the formation of the intermediate 3-chloroindolenine (II). Reaction of tributyl prenyl stannane (III) with boron trichloride generated in situ the transient boron reagent (IV), which after condensation with chloroindolenine (II) produced the 3-prenylindole (V). Subsequent removal of the phthalimide protecting group of (V) by hydrazinolysis provided aminoester (VI). Coupling of (VI) with acid fluoride (VIII), (generated from N-Boc-L-proline (VII) and cyanuric fluoride), gave rise to amide (IX). The Boc protecting group of (IX) was cleaved employing iodotrimethylsilane, and the resulting aminoester (X) was then cyclized with methanolic ammonia to produce the target diketopiperazine.

参考文献No.611420
标题:Preparation of novel 2-(trialkylsilyl)ethyl linkers and first synthesis of Tryprostatin B on solid phase
作者:Wang, B.B.; et al.
来源:Tetrahedron Lett 2001,42(8),1463
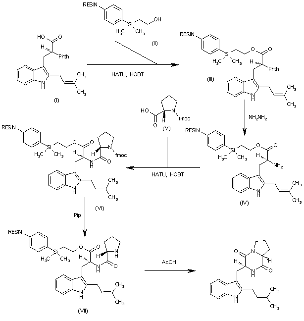
合成路线图解说明:

The esterification of the silylated resin (II) with the prenyltryptophan derivative (I) by means of HATU, OBT and DIEA in DMF gives the resin-bonded ester (III), which is treated with hydrazine in methanol/dichloromethane to eliminate the protecting phthalimido group and yield the resin-bonded tryptophan ester derivative (IV). The condensation of (IV) with N-(Fmoc)-L-proline (V) by means of HATU, HOBT and DIEA in DMF affords the dipeptide (VI), which is treated with piperidine in N-methylpyrrolidine to eliminate the Fmoc protecting group and yield dipeptide ester (VII). Finally, this compound is submitted to an acid-induced cyclization by means of HOAc in refluxing methanol to afford the target bicyclic diketopiperazine.

Drug Information Express,Drug R&D,Chemical Database,Patent Search.
Copyright © 2006-2026 Drug Future. All rights reserved.Contact Us