【药物名称】
化学结构式(Chemical Structure):
参考文献No.482083
标题:Synthesis and biological activity of 1-(4-alkyloxy)benzyl-1,2,3,4-tetrahydroisoquinolines and related compounds
作者:He, L.W.; et al.
来源:Acta Pharm Sin 1998,33(10),741
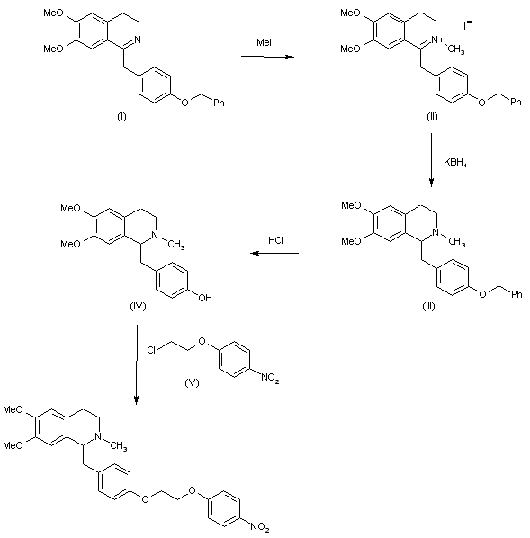
合成路线图解说明:

The methylation of the 1-(4-benzyloxybenzyl)-6,7-dimethoxy-3,4-dihydroisoquinoline (I) with methyl iodide gives the isoquinolinium salt (II), which is reduced with potassium borohydride to afford 1-(4-benzyloxybenzyl)-6,7-dimethoxy-2-methyl-3,4-dihydroisoquinoline (III). The treatment of (III) with HCl yields the phenol (IV), which is finally alkylated with 2-(4-nitrophenoxy)ethanol.

Drug Information Express,Drug R&D,Chemical Database,Patent Search.
Copyright © 2006-2026 Drug Future. All rights reserved.Contact Us