【药物名称】
化学结构式(Chemical Structure):
参考文献No.482080
标题:Synthesis of imidazoline, oxazoline derivatives and antihypertensive activity
作者:Xu, J.Y.; et al.
来源:J Chin Pharm Univ 1998,29(5),336
合成路线图解说明:

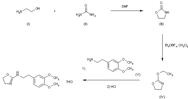
Acid-catalyzed condensation of ethanolamine (I) with urea (II) produced oxazolidinone (III). Subsequent reaction of (III) with triethyloxonium fluoborate yielded ethoxyoxazoline (IV). This was finally condensed with 2-(3,4-dimethoxyphenyl)- ethylamine to afford the title compound, which was isolated as the hydrochloride salt.

Drug Information Express,Drug R&D,Chemical Database,Patent Search.
Copyright © 2006-2026 Drug Future. All rights reserved.Contact Us