【药物名称】Lergotrile
化学结构式(Chemical Structure):
参考文献No.47828
标题:D-6-methyl-2,8-disubstituted ergolines
作者:Clemens, J.A.; et al. (Eli Lilly and Company)
来源:DE 2335750; ES 446789; FR 2193606; GB 1423065; JP 57081487
合成路线图解说明:

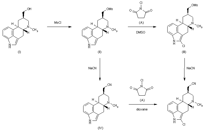
It is prepared in two different ways, both starting from 6-methyl-8-methanesulfonyloxymethylergolin (II), m.p. 192-4 C, prepared by reaction of the corresponding hydroxy compound (I) with methanesulfonyl chloride in pyridine: 1) The starting product (II) is first chlorinated with N-chlorosuccinimide (A) in dioxane to 2-chloro-6-methyl-8-methanesulfonyloxymethylergolin (III), which is then treated with sodium cyanide in DMSO. 2) The starting product (II) is first treated with sodium cyanide in DMSO to give 6-methyl-8-cyanomethylergolin (IV), which is then chlorinated with N-chlorosuccinimide (A) in dioxane.

参考文献No.800725
标题:Lergotrile
作者:Casta馿r, J.; Chatterjee, S.S.
来源:Drugs Fut 1976,1(2),63
合成路线图解说明:

It is prepared in two different ways, both starting from 6-methyl-8-methanesulfonyloxymethylergolin (II), m.p. 192-4 C, prepared by reaction of the corresponding hydroxy compound (I) with methanesulfonyl chloride in pyridine: 1) The starting product (II) is first chlorinated with N-chlorosuccinimide (A) in dioxane to 2-chloro-6-methyl-8-methanesulfonyloxymethylergolin (III), which is then treated with sodium cyanide in DMSO. 2) The starting product (II) is first treated with sodium cyanide in DMSO to give 6-methyl-8-cyanomethylergolin (IV), which is then chlorinated with N-chlorosuccinimide (A) in dioxane.

Drug Information Express,Drug R&D,Chemical Database,Patent Search.
Copyright © 2006-2026 Drug Future. All rights reserved.Contact Us