【药物名称】GPI-6150
化学结构式(Chemical Structure):
参考文献No.38727
标题:Poly(ADP-ribose) polymerase ("PARP") inhibitors, methods and pharmaceutical compsns. for treating neural or cardiovascular tissue damage
作者:Maclin, K.M.; Li, J.-H.; Zhang, J.; Jackson, P.F. (Guilford Pharmaceuticals Inc.)
来源:EP 1019409; WO 9911645
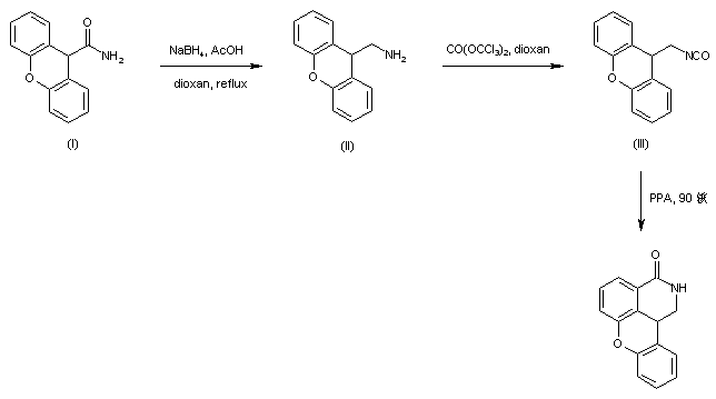
合成路线图解说明:

Reduction of 9-xanthencarboxamide (I) employing NaBH4 and acetic acid in boiling dioxan yielded the primary amine (II). This was treated with triphosgene to produce isocyanate (III). Finally, cyclization of the isocyanate (III) in hot polyphosphoric acid furnished the title tetracyclic system.

Drug Information Express,Drug R&D,Chemical Database,Patent Search.
Copyright © 2006-2026 Drug Future. All rights reserved.Contact Us