【药物名称】
化学结构式(Chemical Structure):
参考文献No.384198
标题:Cyclic HIV protease inhibitors. Synthesis, conformational analysis, P2/P2' structure-activity relationship, and molecular recognition of cyclic ureas
作者:Lam, P.Y.S.; Ru, Y.; Jadhav, P.K.; Aldrich, P.E.; DeLucca, G.V.; Eyermann, C.J.; Chang, C.H.; Emmett, G.C.; Holler, E.R.; Daneker, W.F.; Li, L.; Confalone, P.N.; McHugh, R.J. Jr.; Han, Q.; Li, R.; Markwalder, J.A.; Seitz, S.P.; Sharpe, T.R.; et al.
来源:J Med Chem 1996,39(18),3514
合成路线图解说明:

Swern oxidation of N-(benzyloxycarbonyl)-(R)-phenylalaninol (I) gave aldehyde (II), which was subjected to a vanadium-mediated pinacol coupling to yield diol (III). Protection of the hydroxyl groups of (III) by reaction with [2-(trimethylsilyl)-ethoxy]methyl chloride (SEMCl) (IV) and DIEA in DMF provided trimethylsilyl)ethoxymethyl ether (V), whose N-benzyloxycarbonyl groups were removed by hydrogenolysis over Pd/C to afford diamine (VI). Finally, cyclization of diamine (VI) with carbonyldiimidazole produced the cyclic urea (VII).

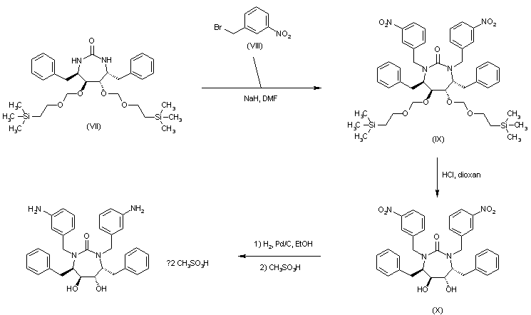
合成路线图解说明:

Alkylation of diazepinone (VII) with m-nitrobenzyl bromide (VIII) in the presence of NaH gave the bis-nitrobenzyl derivative (IX). The silylethoxymethyl protecting groups of (IX) were then removed by means of HCl in dioxan to afford diol (X). The nitro groups of (X) were finally reduced by catalytic hydrogenation to the target diamino compound, which was finally converted to the bis-methanesulfonate salt.

合成路线图解说明:

Swern oxidation of N-(benzyloxycarbonyl)-(R)-phenylalaninol (I) with DMSO and oxalyl chloride afforded the corresponding aldehyde (II). Subsequent pinacol dimerization by treatment with VCl3 and Zn gave diol (III) with a 98% diastereomeric purity. After protection of the hydroxyl groups of (III) as the [2-(trimethylsilyl) ethoxy]methyl (SEM) ethers upon treatment with SEMCl and diisopropyl ethylamine, (IV) was obtained, then the N-benzyloxycarbonyl groups were removed by hydrogenolysis in the presence of Pd/C. The resulting diamine (V) was cyclized with carbonyl diimidazole and pyridine to furnish the cyclic urea (VI). Alkylation with benzyl bromide (VII) and NaH provided the bisbenzylated compound, which was subsequently deprotected by treatment with HCl in MeOH-dioxan to give (VIII) (1). The stereoselective hydroxyl inversion of the diol was then achieved Swern by oxidation to the ketol (IX), followed by reduction with NaBH4 in EtOH, and purification of the major isomer by column chromatography.

合成路线图解说明:

Swern oxidation of N-(benzyloxycarbonyl)-(R)-phenylalaninol (I) with DMSO and oxalyl chloride afforded the corresponding aldehyde (II). Subsequent pinacol dimerization by treatment with VCl3 and Zn gave diol (III) with a 98% diastereomeric purity. After protection of the hydroxyl groups of (III) as the [2-(trimethylsilyl) ethoxy]methyl (SEM) ethers upon treatment with SEMCl and diisopropyl ethylamine, (IV) was obtained, then the N-benzyloxycarbonyl groups were removed by hydrogenolysis in the presence of Pd/C. The resulting diamine (V) was cyclized with carbonyl diimidazole and pyridine to furnish the cyclic urea (VI). Alkylation with benzyl bromide (VII) and NaH provided the bisbenzylated compound, which was finally deprotected by treatment with HCl in MeOH-dioxan.

参考文献No.482605
标题:Stereoisomers of cyclic urea HIV-1 protease inhibitors: Synthesis and binding affinities
作者:Kaltenbach, R.F. III; Nugiel, D.A.; Lam, P.Y.; Klabe, R.M.; Seitz, S.P.
来源:J Med Chem 1998,41(25),5113
合成路线图解说明:

Swern oxidation of N-(benzyloxycarbonyl)-(R)-phenylalaninol (I) with DMSO and oxalyl chloride afforded the corresponding aldehyde (II). Subsequent pinacol dimerization by treatment with VCl3 and Zn gave diol (III) with a 98% diastereomeric purity. After protection of the hydroxyl groups of (III) as the [2-(trimethylsilyl) ethoxy]methyl (SEM) ethers upon treatment with SEMCl and diisopropyl ethylamine, (IV) was obtained, then the N-benzyloxycarbonyl groups were removed by hydrogenolysis in the presence of Pd/C. The resulting diamine (V) was cyclized with carbonyl diimidazole and pyridine to furnish the cyclic urea (VI). Alkylation with benzyl bromide (VII) and NaH provided the bisbenzylated compound, which was subsequently deprotected by treatment with HCl in MeOH-dioxan to give (VIII) (1). The stereoselective hydroxyl inversion of the diol was then achieved Swern by oxidation to the ketol (IX), followed by reduction with NaBH4 in EtOH, and purification of the major isomer by column chromatography.

Drug Information Express,Drug R&D,Chemical Database,Patent Search.
Copyright © 2006-2026 Drug Future. All rights reserved.Contact Us