【药物名称】
化学结构式(Chemical Structure):
参考文献No.482604
标题:Synthesis of imidazo[1,2-a]pyridines as antiviral agents
作者:Gueiffier, A.; Mavel, S.; Lhassani, M.; Elhakmaoui, A.; Snoeck, R.; Andrei, G.; Chavignon, O.; Teulade, J.C.; Witvrouw, M.; Balzarini, J.; De Clercq, E.; Chapat, J.P.
来源:J Med Chem 1998,41(25),5108
合成路线图解说明:

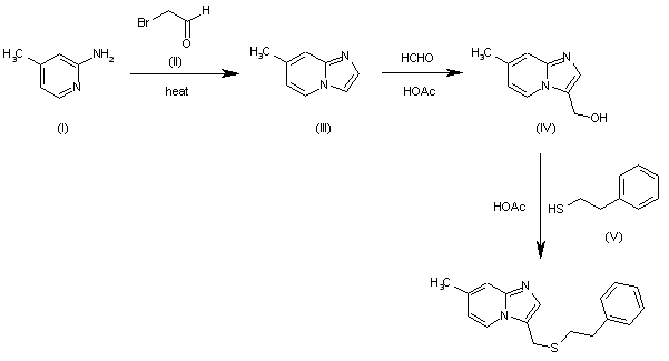
The cyclization of 4-methylpyridine-2-amine (I) with 2-bromoacetaldehyde (II) in refluxing ethanol gives 7-methylimidazo[1,2-a]pyridine (III), which by reaction with formaldehyde in refluxing acetic acid is converted into 7-methylimidazo[1,2-a]pyridin-3-ylmethanol (IV). Finally, this compound is condensed with 2-phenylethanethiol (V) in acetic acid at 100 C.

Drug Information Express,Drug R&D,Chemical Database,Patent Search.
Copyright © 2006-2026 Drug Future. All rights reserved.Contact Us