【药物名称】KML-010
化学结构式(Chemical Structure):
参考文献No.62964
标题:2,4,8-Triaza-spiro(4,5)dec-2-enes
作者:Janssen, P.A.J. (Janssen Pharmaceutica NV)
来源:US 3155669
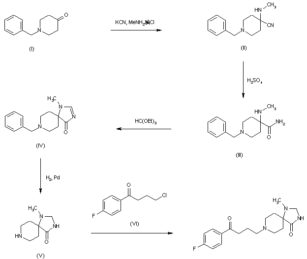
合成路线图解说明:

The title compound is prepared by two related methods. N-Benzyl-4-piperidone (I) is condensed with KCN and MeNH2.HCl to produce amino nitrile (II). Partial hydrolysis of nitrile (II) with H2SO4 furnishes amide (III). Condensation of the amino amide (III) with triethyl orthoformate gives rise to the spiro imidazolinone (IV). Catalytic hydrogenation of the imidazoline double bond of (IV) and simultaneous N-benzyl group hydrogenolysis gives rise to 1-methyl-1,3,8-triazaspiro[4,5]decan-4-one (V). This is finally alkylated with 4'-fluoro-4-chlorobutyrophenone (VI) to yield the desired compound (1,2).

参考文献No.482602
标题:Spiperone: Influence of spiro ring substituents on 5-HT2A serotonin receptor binding
作者:Metwally, K.A.; Dukat, M.; Egan, C.T.; Smith, C.; Dupre, A.; Gauthier, C.B.; Herrick-Davis, K.; Teitler, M.; Glennon, R.A.
来源:J Med Chem 1998,41(25),5084
合成路线图解说明:

The title compound is prepared by two related methods. N-Benzyl-4-piperidone (I) is condensed with KCN and MeNH2.HCl to produce amino nitrile (II). Partial hydrolysis of nitrile (II) with H2SO4 furnishes amide (III). Condensation of the amino amide (III) with triethyl orthoformate gives rise to the spiro imidazolinone (IV). Catalytic hydrogenation of the imidazoline double bond of (IV) and simultaneous N-benzyl group hydrogenolysis gives rise to 1-methyl-1,3,8-triazaspiro[4,5]decan-4-one (V). This is finally alkylated with 4'-fluoro-4-chlorobutyrophenone (VI) to yield the desired compound (1,2).

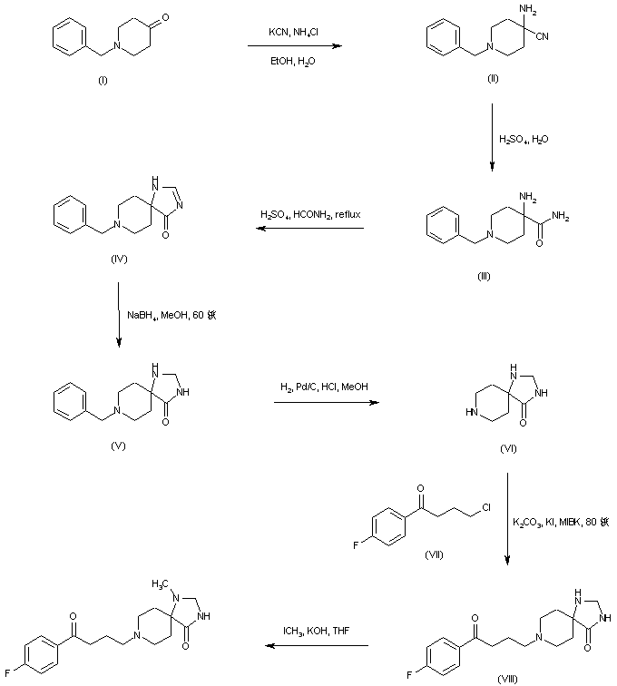
合成路线图解说明:

Similarly, the condensation of N-benzyl-4-piperidone (I) with KCN in the presence of NH4Cl provides amino nitrile (II), which is further hydrolyzed to amide (III) with 95% H2SO4. Cyclization of amino amide (III) with formamide under acidic conditions yields the spiro imidazolinone (IV), which is further reduced to imidazolidinone (V) employing NaBH4 in hot MeOH. Debenzylation of (V) with H2 and Pd/C provides 1,3,8-triazaspiro[4,5]decan-4-one (VI). Then, alkylation of (VI) with 4'-fluoro-4-chlorobutyrophenone (VII) by means of K2CO3 and catalytic KI in methyl isobutyl ketone furnishes (VIII). The imidazolidinone ring of (VIII) is finally methylated with iodomethane and KOH to produce the title compound (2).

Drug Information Express,Drug R&D,Chemical Database,Patent Search.
Copyright © 2006-2026 Drug Future. All rights reserved.Contact Us